My eyes bleed with your proposal. Anyway
\documentclass{article}
\usepackage{amsmath}
\makeatletter
\newcommand{\fracto}[3]{%
{\mathpalette\frac@to{{#1}{#2}{#3}}}%
}
\newcommand{\frac@to}[2]{\frac@@to#1#2}
\newcommand{\frac@@to}[4]{%
% #1 = mathstyle
% #2 = full numerator
% #3 = denominator
% #4 = reduced numerator
\begingroup
\sbox\z@{$\m@th#1\frac{#2}{#3}$}%
\sbox\tw@{$\m@th#1\frac{#4}{#3}$}%
\settowidth\dimen@{$\m@th\frac@to@demote#1#4$}%
\frac{{}\makebox[\dimen@][l]{$\frac@to@demote#1#2$}}{#3}%
\kern-\wd\tw@
\kern\wd\z@
\endgroup
}
\newcommand\frac@to@demote[1]{%
\ifx#1\displaystyle\textstyle\else
\ifx#1\textstyle\scriptstyle\else
\scriptscriptstyle\fi\fi
}
\makeatother
\begin{document}
\begin{gather*}
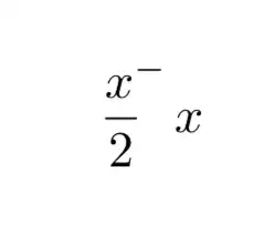
X + \frac{x^{-}}{2} + \frac{x^{-}}{100} + X \\
X + \fracto{x^{-}}{2}{x} + \fracto{x^{-}}{100}{x} + X \\
\end{gather*}
\end{document}

First I typeset the standard fraction, then the same but with the “reduced numerator” in two boxes, so I can use their widths. I also measure the reduced numerator.
Then I typeset the fraction with the numerator having the same width as the reduced one (aligned left). This fraction is as wide as box 2, so I back up by this amount and reinstate the width of the standard fraction, which is the width of box 0.
\frac{x^{\mathmakebox[0pt][l]{-}}}{2}withmathtools? – Nov 30 '18 at 04:28\frac{x^{-}}{2}is not that pretty, but the proposed layout is much worse to my eyes. – egreg Nov 30 '18 at 11:31$\frac{x}{2}^{-}$, it gives undesired output in non-display mathmode, especially if the denominator is not a single character, as in$\frac{x}{222}^{-}$. Putting two~in front ofxdoes a reasonable job, no matter what the denominator is, as in$\displaystyle \frac{~~x^{-}}{2}$– Máté Wierdl Dec 05 '18 at 04:26