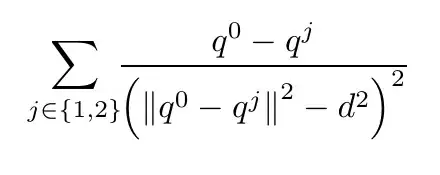
I've a simple formula:
\documentclass[]{article}
\usepackage{mathtools}
\newcommand\norm[1]{\left\lVert#1\right\rVert}
\begin{document}
\begin{equation*}
\displaystyle\sum\limits_{\mathclap{j \in \{1,2\}}}~\frac{q^{0} - q^{j}}{{(\norm{q^{0} - q^{j}}^{2} - d^{2}})^{2}}
\end{equation*}
\end{document}
After adding \left and \right commands to make the parenthesis of the denominator bigger, LaTeX generates the output as follows:
\documentclass[]{article}
\usepackage{mathtools}
\newcommand\norm[1]{\left\lVert#1\right\rVert}
\begin{document}
\begin{equation*}
\displaystyle\sum\limits_{\mathclap{j \in \{1,2\}}}~\frac{q^{0} - q^{j}}{{\left(\norm{q^{0} - q^{j}}^{2} - d^{2}}\right)^{2}}
\end{equation*}
\end{document}
but there is an error like Extra }, or forgotten \right. ...orm{q^{0} - q^{j}}^{2} - d^{2}}\right)^{2}}. The code is seamlessly compiled without those \left and \right commands.


\displaystyle\sum\limits_{\mathclap{j \in \{1,2\}}}~\frac{q^{0} - q^{j}}{{\left(\norm{q^{0} - q^{j}}^{2} - d^{2}\right)^{2}}}. Simple rule: Respec the brackets ;) – Raaja_is_at_topanswers.xyz Nov 28 '18 at 09:39\leftin a group leaving out\right:{\left( ... } \right). – campa Nov 28 '18 at 09:41