If you only want to draw one of those, this might be a bit of an overkill, but if you plan to do several annotations of that kind and wish to have access to more fancy features, this might be a reasonable way to go.
\documentclass{article}
\usepackage{amsmath}
\usepackage{tikz}
\usetikzlibrary{tikzmark}
\begin{document}
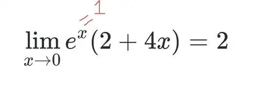
\[\lim_{x\to0}\tikzmarknode{ex}{\mathrm{e}^x}\left(2+4x\right)~=~2\]
\begin{tikzpicture}[overlay,remember picture]
\path[red] ([xshift=1pt,yshift=1pt]ex.north east) -- ++(45:{width("=")*1pt-1pt})
node[midway,sloped]{$=$} node[above right=-2pt]{$1$};
\end{tikzpicture}
\end{document}

Arguably somewhat clearer alternatives include
\documentclass{article}
\usepackage{mathtools}
\usepackage{tikz}
\usetikzlibrary{tikzmark}
\begin{document}
\[\lim_{x\to0}\tikzmarknode{ex}{\mathrm{e}^x}\left(2+4x\right)~=~2\]
\begin{tikzpicture}[overlay,remember picture]
\draw[red,->] ([xshift=1pt,yshift=1pt]ex.north east) --
++(45:{width("$\scriptstyle x\to0$")*1pt})
node[midway,sloped,above]{$\scriptstyle x\to0$} node[above right=-1pt]{$1$};
\end{tikzpicture}
\end{document}

which illustrates what I mean by "more fancy options".
e^xis not equal to 1. – egreg Nov 23 '18 at 22:32AandB- they both need to have their own respective limits, but that is besides the point here. Do you find the product of the limits is the limit of the products confusing? I find the=1coloured, slanted superscript confusing. – Werner Nov 23 '18 at 22:36