So I would like to be able to draw Wick contraction with Dirac bracket, the Dirac bracket is produced with package physics, and the mwe is
\documentclass{article}
\usepackage{physics}
\begin{document}
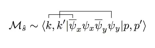
$$
\mathcal{M}_{\hat{s}} \sim \mel**{k , k'}{\overline{\psi}_x \psi _x \overline{\psi}_y \psi _y}{p , p'}
$$
\end{document}
The kind of effect I would like to achieve with this bracket is
Sorry that my question was not clear, I was not trying to achieve a red colored Wick contraction lines.
The reason why I would like to use this package physics is, it is the only package I know that would nicely adjust the height of the angled bracket as well as the vertical lines in Dirac bracket, so I would like to stay with this package.
The problem with drawing the Wick contractions is, neither simplewick nor simpler-wick would work, so I am wondering if there is really a solution.
Also, I know it is always possible to do anything with tikz and that is something I could do, but I would appreciate if someone could offer a neater solution.





\[...\]preferable to$$...$$? – Werner Dec 06 '18 at 19:30