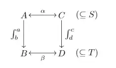
I am not so skillful in TikZ, but hope that the following solves your first two questions
\documentclass{amsart}
\usepackage{tikz}
\begin{document}
\begin{tikzpicture}
\draw (0,0) node {$A$};
\draw (1.5,0) node {$C$};
\draw (0,-1.5) node {$B$};
\draw (1.5,-1.5) node {$D$};
\draw (2.5,0) node {$(\subseteq S)$};
\draw (2.5,-1.5) node {$(\subseteq T)$};
\draw[<->] (0.2,0) -- (1.3,0);
\draw[<->] (0.2,-1.5) -- (1.3,-1.5);
\draw[->] (0,-0.2) -- (0,-1.3);
\draw[->] (1.5,-0.2) -- (1.5,-1.3);
\begin{scriptsize}
\draw (0.75,0) node[above] {$\alpha$};
\draw (0.75,-1.5) node[below] {$\beta$};
\draw (0,-0.75) node[left] {$\int_b^a$};
\draw (1.5,-0.75) node[right] {$\int_d^c$};
\end{scriptsize}
\end{tikzpicture}
\end{document}

For question 3: From my point of view, the integral symbol will look a bit worse if you lengthen the symbol because it doesn't suit the a, b, etc. However, if you really want to lengthen the symbol, I suggest enlarging the whole symbol:
\documentclass{amsart}
\usepackage{tikz}
\begin{document}
\begin{tikzpicture}
\draw (0,0) node {$A$};
\draw (1.5,0) node {$C$};
\draw (0,-1.5) node {$B$};
\draw (1.5,-1.5) node {$D$};
\draw (2.5,0) node {$(\subseteq S)$};
\draw (2.5,-1.5) node {$(\subseteq T)$};
\draw[<->] (0.2,0) -- (1.3,0);
\draw[<->] (0.2,-1.5) -- (1.3,-1.5);
\draw[->] (0,-0.2) -- (0,-1.3);
\draw[->] (1.5,-0.2) -- (1.5,-1.3);
\begin{scriptsize}
\draw (0.75,0) node[above] {$\alpha$};
\draw (0.75,-1.5) node[below] {$\beta$};
\end{scriptsize}
%\begin{small}
\draw (0,-0.75) node[left] {$\int_b^a$};
\draw (1.5,-0.75) node[right] {$\int_d^c$};
%\end{small}
\end{tikzpicture}
\end{document}

tikz-cd? – Nov 16 '18 at 11:05tikz-cdis because the package manual contains examples that I can very easily repurpose for my needs. If I can get the same results withtikz, it would be an acceptable solution. – Evan Aad Nov 16 '18 at 11:07