could you suggest me a method to write the equation with the arrow pointing down as in the picture?
I do not understand how it could be set.
i see this post:
Undersetting an arrow beneath an equation
How I can code long down arrow in equations
---------------------------------------------UPDATE--------------------------------------
I tried this solution but I'm not satisfied, I would like the equations to be centered on a certain distance from the corresponding number.
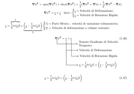
I inserted two solutions,
First (where I imagine you will find many errors):
\begin{equation*}
\begin{aligned}
\Gradu = \textit{sym}(\Gradu) + \textit{skew}(\Gradu) = \Fra{1}{2}(\Gradu + \Grad{\bar{u}})+\Fra{1}{2}(\Gradu - \Grad{\bar{u}})\\
\hspace{-10.5cm}
\Gradu = \barbII{e}+\barbII{r} \quad \text{dove :}
\begin{cases}
\barbII{e} = \text{Velocità di Deformazione;}\\
\barbII{r} = \text{Velocità di Rotazione Rigida};\\
\end{cases}\\
\barbII{e} = \overbrace{\Fra{1}{3}tr(\barbII{e})\I}^{1}+\underbrace{\left(\barbII{e} -\Fra{1}{3}tr(\barbII{e})\I\right)}_{2} %\hspace{4.7cm}
\begin{cases}
1) = \text{Parte Sferica : velocità di variazione volumentrica;}\\
2) = \text{Velocità di deformazione a volume costante};\\
\end{cases}\\
\end{aligned}
\end{equation*}
Second corresponds to a part of the solution of the image;
\begin{gather*}
\begin{align}
\Gradu\tikzmark{enda} = \barbII{e}\tikzmark{endb} + \barbII{r}\tikzmark{endc}
\end{align}
\end{gather*}
\begin{tikzpicture}[remember picture,overlay]
\draw[->,>=latex]
([shift={(-15pt,0pt)}]pic cs:enda) |- ++(70pt,-15pt) node[right,text width=6cm] {Tensore Gradiente di Velocità Trasposto};
\draw[->,>=latex]
([shift={(-2pt,-6pt)}]pic cs:endb) |- ++(40pt,-30pt) node[right,text width=6cm] {Velocità di Deformazione};
\draw[->,>=latex]
([shift={(-2pt,-6pt)}]pic cs:endc) |- ++(25pt,-50pt) node[right,text width=6cm] {Velocità di Rotazione Rigida};
\draw[->,>=latex]
([shift={(-2pt,-6pt)}]pic cs:endb) |- ++(40pt,-80pt) node[right,text width=6cm] {
$\barbII{e} = \Fra{1}{3}tr(\barbII{e})\I+\left(\barbII{e} -\Fra{1}{3}tr(\barbII{e})\I\right)$
};
\end{tikzpicture}
\vspace{3cm}
\begin{equation}
\begin{aligned}
\barbII{e} = \Fra{1}{3}tr(\barbII{e})\I+\left(\barbII{e} -\Fra{1}{3}tr(\barbII{e})\I\right)
\end{aligned}
\end{equation}
but if I add another node to explain $\barbII{e} = \Fra{1}{3}tr(\barbII{e})\I+\left(\barbII{e} -\Fra{1}{3}tr(\barbII{e})\I\right)$, it gives me error :
\draw[->,>=latex]
([shift={(-2pt,-6pt)}]pic cs:endb) |- ++(40pt,-80pt) node[right,text width=6cm] {
$\barbII{e} = \Fra{1}{3}tr(\barbII{e})\tikzmark{ende}\I+\left(\barbII{e} -\Fra{1}{3}tr(\barbII{e})\I\right)$
};
---------------------------------------------UPDATE 1----------------------------------
I chose this final solution
\begin{align*}
\Gradu&=\tikzmarknode{e1}{\barbII{e}}+\barbII{r}\quad
\text{dove}~\left\{\begin{array}{rcl}
\barbII{e}&=& \text{Velocità di Deformazione;}\\
\barbII{r}&=& \text{Velocità di Rotazione Rigida};\\
\end{array}\right.\\
&\qquad\quad \tikzmarknode{e2}{\barbII{e}}=
\overbrace{ \Fra{1}{3}tr(\barbII{\tau})\I}^{\text{\ding{192}}}+
\underbrace{\left(\barbII{e} -\Fra{1}{3}tr(\barbII{\tau})\I\right)}_{\text{\ding{193}}}\tikzmark{X}\quad
\begin{array}{rcl}
\end{array}
\end{align*}
\begin{tikzpicture}[overlay,remember picture]
\draw[thick,-latex] (e1) |- (e2);
\end{tikzpicture}
Il tensore $\barbII{e}$ rappresenta pertanto la velocità di deformazione in forma (la distorsione) ed in volume e può essere decomposto in due parti:
%%-----------------NUOVO COMANDO----------------------------
\newcommand*\circled[1]{\tikz[baseline=(char.base)]{
\node[shape=circle,draw,inner sep=0.5pt] (char) {#1};}}
\begin{itemize}
\item[\circled{1}]Parte Sferica : Velocità di Variazione Volumentrica;
\item[\circled{2}]Parte Deviatoria : Velocità di Deformazione a Volume Costante;
\end{itemize}
It would be useful to establish an arrow distance from \barbII{e}
---------------------------------------------UPDATE 2----------------------------------
another interesting solution
\begin{equation}\label{eq063}
\begin{aligned}
\tau_{ij}=-\textbf{p}\delta_{ij}+2\mu\left( \eij-\Fra{1}{3}e_{kk}\delta_{ij}\right)
\text{dove $\delta_{ij}$ = }~\left\{\begin{array}{rcl}
1&\rightarrow& \text{se i = j;}\\
0&\rightarrow& \text{se i $\neq$ j};\\
\end{array}\right.\\
\end{aligned}
\end{equation}
\begin{tikzpicture}[right node/.style={rectangle,draw}]
node{%
$\begin{aligned}
\tikzmarknode{ex1}e_{kk}\tikzmarknode{ex2}=tr(\barbII{e})=\tikzmarknode{ex3}\Div{\bar{u}}
\end{aligned}$};
\draw[->,>=latex]([shift={(-70pt,-5pt)}]pic cs:ex1-ex2) |- ++(80pt,-25pt) node[right,text width=6cm]
{ È considerata la somma degli elementi della diagonale di $\barbII{e}$ che non coinvolge gli ij;};
\draw[->,>=latex]([shift={(-8pt,-15pt)}]pic cs:ex3) |- ++(16pt,-52pt) node[right,text width=6cm]
{Velocità di Deformazione Volumetrica (Comprimibiltà);};
\end{tikzpicture}




