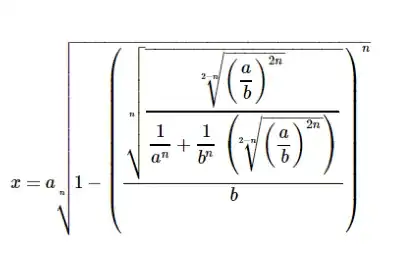
I'm trying to create an equation in LaTeX, however, there seems to be a gigantic white space that is rather unsightly. Here's the code I'm using:
\[
x=a\sqrt[n]{1-\left(\dfrac{\sqrt[n]{\dfrac{\sqrt[2-n]{\left(\dfrac{a}
{b}\right)^{2n}}}{\dfrac{1}{a^n}+\dfrac{1}{b^n}\left(\sqrt[2-n]
{\left(\dfrac{a}{b}\right)^{2n}}\right)}}}{b}\right)^n}
\]
Is there a way to shorten the braces and root so that they look somewhat closer to this?




\left(\frac{1}{b}\sqrt{.....}\right)– David Carlisle Oct 24 '18 at 20:18