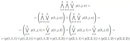
This is my LaTeX code:
\documentclass{amsart}
\usepackage{amsmath}
\begin{document}
\begin{align*}
\bigwedge_{i=1}^{2} &\bigwedge_{n=1}^{2} \bigvee_{j=1}^{2}~p(i,j,n)=\\
=\left(\bigwedge_{n=1}^{2} \bigvee_{j=1}^{2}\ p(1,j,n)\right) &\wedge \left(\bigwedge_{n=1}^{2} \bigvee_{j=1}^{2}\ p(2,j,n)\right)=\\
=\left(\bigvee_{j=1}^{2}\ p(1,j,1)\wedge \bigvee_{j=1}^{2}\ p(1,j,2)\right) &\wedge \left( \bigvee_{j=1}^{2}\ p(2,j,1)\wedge \bigvee_{j=1}^{2}\ p(2,j,2)\right)=\\
=(p(1,1,1)\vee p(1,2,1))\wedge (p(1,1,2)\vee p(1,2,2)) &\wedge (p(2,1,1)\vee p(2,2,1))\wedge (p(2,1,2)\vee p(2,2,2))
\end{align*}
\end{document}
Now it looks like:
To show what exactly I mean, I made a red line below to show exact alignment that is needed:
How to do that?






\bigwedge_{i=1}^{2} &\centerwithin\bigwedge_{n=1}^{2} \bigvee_{j=1}^{2}~p(i,j,n)=\\complite code here: https://pastebin.com/Vsdbb5b9 deformates the formula like this: https://i.imgur.com/POVE5Lo.png – vasili111 Sep 15 '18 at 13:13