I am trying format this expression with some radicals. I tried
\documentclass[12pt,a4paper]{article}
\usepackage{amsmath}
\usepackage[left=2cm,right=2cm,top=2cm,bottom=2cm]{geometry}
\begin{document}
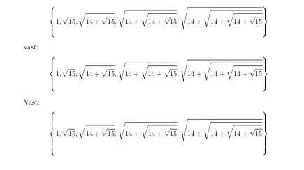
\[\left\{1,\sqrt{15},\sqrt{14+\sqrt{15}},\sqrt{14+\sqrt{14+\sqrt{15}}},\sqrt{14+\sqrt{14+\sqrt{14+\sqrt{15}}}}\right\}\]
\end{document}
If I use Biggl and \Biggr, I got
How to get a nice expression?



