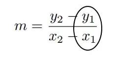
I want to circle the "second half" of a fraction in an equation, like this:
However, after hours of searching, I'm still unable to do this seemingly simple task.
The current state of my code:
\documentclass{article}
\usepackage{mathtools}
% Circling
\newcommand*\circled[1]{\tikz[baseline=(char.base)]{
\node[shape=circle,draw,inner sep=1pt] (char) {#1};}}
\begin{document}
\begin{equation*}
{m} = \frac{y_2 - y_1}{x_2 - x_1}
\end{equation*}
\end{document}
I managed to circle individual parts of the equation with the 'circled' command, but I was unable to reproduce the image above.
Thanks for any advice!




{m}should just bem. – Teepeemm Aug 12 '18 at 19:48