I used this previous solution to successfully split a node vertically in my graph.
But by using this solution the graph representation will get mixed up.
How can I fix this?
Thanks in advance!
Example:
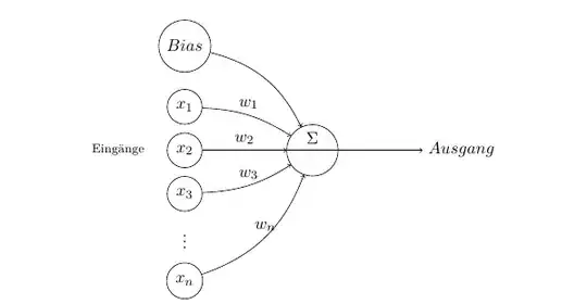
\documentclass{minimal}
\usepackage{graphics}
\usepackage{tikz}
\usetikzlibrary{shapes,snakes}
\begin{document}
\begin{tikzpicture}
%%% Sum (Center)
\node[circle split,draw, rotate=90] (left) {\rotatebox{-90}{$\Sigma$} \nodepart{lower} \rotatebox{-90}{$\sigma$}};
%\node[circle split,draw] (left) {$\Sigma$};
%%% Output left to sum
\node[right=5em of left] (empty) {Ausgang};
\draw[->] (left) to (empty);
%%% Input 2
\node[circle, draw,left=5em of left] (2) {$x_2$};
\path[draw,->] (2) -- node[above] {$w_2$} (left);
%%% Input 1
\node[circle, draw,above of=2] (1) {$x_1$};
\draw[->] (1) to[bend right=-15] node[above] {$w_1$} (left);
%%% Input bias
\node[circle, draw,above=1em of 1] (bias) {$Bias$};
\draw[->] (bias) to[bend right=-25] (left);
%\draw[->] (bias) to[bend right=-25] node[above] {$w_0$} (left);
%%% Input 3
\node[circle, draw,below of=2] (3) {$x_3$};
\draw[->] (3) to[bend right=15] node[above] {$w_3$} (left);
%%% Dots
\node[below of=3] (dots) {$\vdots$};
%%% Input n
\node[circle, draw,below of=dots] (n) {$x_n$};
\draw[->] (n) to[bend right=25] node[above] {$w_n$} (left);
%%% Input label
\node[left=1em of 2,font=\scriptsize] {Eingänge};
\end{tikzpicture}
\end{document}




$Ausgang$but\mathit{...}in mathematical mode or\textit{...}in textual mode. – Sebastiano Jul 23 '18 at 07:55