DISCLAIMER: This is almost entirely taken from Steven B. Segletes answer and what I made here is also more a matrix that can be abused for cases. But the upshot is that with Steven's code one can draw any bracket one wants after very simple adjustments. Of course, some basic knowledge of TikZ helps.
\documentclass{article} % https://tex.stackexchange.com/a/327584/121799
\usepackage{tikz,amsmath,environ}
\usetikzlibrary{decorations.pathreplacing,calc}
\tikzset{
ncbar angle/.initial=90,
ncbar/.style={
to path=(\tikztostart)
-- ($(\tikztostart)!#1!\pgfkeysvalueof{/tikz/ncbar angle}:(\tikztotarget)$)
-- ($(\tikztotarget)!($(\tikztostart)!#1!\pgfkeysvalueof{/tikz/ncbar angle}:(\tikztotarget)$)!\pgfkeysvalueof{/tikz/ncbar angle}:(\tikztostart)$)
-- (\tikztotarget)
},
ncbar/.default=0.5cm,
freaky dim/.default=4pt,
freaky/.style={
to path={let \p1=(\tikztostart),\p2=(\tikztotarget) in (\tikztostart)
-- ($(\tikztostart)!#1!\pgfkeysvalueof{/tikz/ncbar angle}:(\tikztotarget)$)
-- ({\x1-#1},{(\y1+\y2)/2-abs(#1)})
-- ({\x1-2*#1},{(\y1+\y2)/2})
-- ({\x1-#1},{(\y1+\y2)/2+abs(#1)})
-- ($(\tikztotarget)!($(\tikztostart)!#1!\pgfkeysvalueof{/tikz/ncbar angle}:(\tikztotarget)$)!\pgfkeysvalueof{/tikz/ncbar angle}:(\tikztostart)$)
-- (\tikztotarget)}
},
freaky/.default=0.5cm,
}
\tikzset{freaky left brace/.style={freaky=0.5ex}}
\tikzset{freaky right brace/.style={freaky=-0.5ex}}
\tikzset{square left brace/.style={ncbar=0.5ex}}
\tikzset{square right brace/.style={ncbar=-0.5ex}}
\tikzset{round left paren/.style={ncbar=0.3cm,out=115,in=-115}}
\tikzset{round right paren/.style={ncbar=0.3cm,out=65,in=-65}}
%
\NewEnviron{flcases}{\setbox0=\hbox{$\,\begin{matrix}\BODY\end{matrix}\,$}%
\setbox2=\hbox{\begin{tikzpicture}
\draw [thick] (0,\botdim) to [freaky left brace] (0,\topdim);
\copy0
\end{tikzpicture}}
\vcenter{\hbox{\copy2}}%
}
\def\topdim{\the\dimexpr+\ht0+.5\ht\strutbox-.5\dp\strutbox-3pt\relax}
\def\botdim{\the\dimexpr-\ht0+.5\ht\strutbox-.5\dp\strutbox+3pt\relax}
\begin{document}
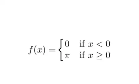
\[ f(x)=
\begin{flcases}
0 & \text{if}~x<0 \\
\pi & \text{if}~x\ge0
\end{flcases}%
\]
\end{document}
