Since your MWE did not compile for me, I substituted the French Cursive font from the frcusrive package (and also set the math alphabets with mathalpha.)
\documentclass[12pt,a4paper,oneside]{book}
\tracinglostchars=2
\usepackage[lmargin=7cm,rmargin=.7cm,bmargin=2cm,marginparwidth=5.5cm,marginparsep=2em]{geometry}
%\usepackage{lipsum,sidenotes,tabularx}
\reversemarginpar % Page margins
\usepackage{graphicx} % Required for including pictures
\usepackage{xcolor}
\usepackage{amsmath, mathtools}
\usepackage{baskervald}
\usepackage[baskervaldx]{newtxmath}
\usepackage[bb=dsserif, scr=rsfso]{mathalpha}
\usepackage{bm}
\usepackage[italian]{babel}
\usepackage[utf8]{inputenc}
\usepackage[T1]{fontenc}
%----------------------------------------------------------------------------------------
% r Griffiths, curls and fonts from mt2pro[lite]->pro
%----------------------------------------------------------------------------------------
% \def\rcurs{{\mbox{$\resizebox{.09in}{.08in}{\includegraphics[trim= 1em 0 14em 0, clip]{ScriptR}}$}}}
% \def\brcurs{{\mbox{$\resizebox{.09in}{.08in}{\includegraphics[trim= 1em 0 14em 0, clip]{BoldR}}$}}}
% \def\hrcurs{{\mbox{$\hat \brcurs$}}}
% Substitute french Cursive font for script r:
\newcommand\rcurs{\text{\usefont{T1}{frc}{m}{sl}r}}
\newcommand\brcurs{\text{\usefont{T1}{frc}{bx}{sl}r}}
\newcommand\hrcurs{\boldsymbol{\hat{\brcurs}}}
\begin{document}
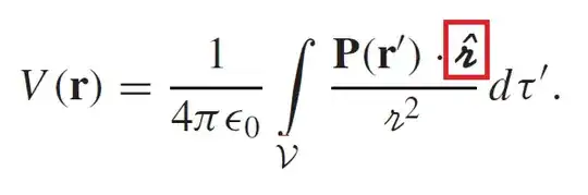
\[V(\mathbf r)=\frac{1}{4\pi \epsilon_0}\int_{\mathcal V} \frac{\mathbf P(\mathbf r')\cdot \hrcurs}{\rcurs^2}d\tau'\]
\end{document}

This isn’t perfect, but does give you the script r in a scalable font. If you’re willing to switch to unicode-math (which, if your goal is to duplicate the appearance of a book typeset with classic LaTeX, you probably aren’t), you will have many more options.
To fine-tune the position of a math accent, use the command \skew. This definition of \hrcurs shifts the hat to the right:
\documentclass[12pt,a4paper,oneside]{book}
\tracinglostchars=2
\usepackage[lmargin=7cm,rmargin=.7cm,bmargin=2cm,marginparwidth=5.5cm,marginparsep=2em]{geometry}
%\usepackage{lipsum,sidenotes,tabularx}
\reversemarginpar % Page margins
\usepackage{graphicx} % Required for including pictures
\usepackage{xcolor}
\usepackage{amsmath, mathtools}
\usepackage{baskervald}
\usepackage[baskervaldx]{newtxmath}
\usepackage[bb=dsserif, scr=rsfso]{mathalpha}
\usepackage{bm}
\usepackage[italian]{babel}
\usepackage[utf8]{inputenc}
\usepackage[T1]{fontenc}
%----------------------------------------------------------------------------------------
% r Griffiths, curls and fonts from mt2pro[lite]->pro
%----------------------------------------------------------------------------------------
% \def\rcurs{{\mbox{$\resizebox{.09in}{.08in}{\includegraphics[trim= 1em 0 14em 0, clip]{ScriptR}}$}}}
% \def\brcurs{{\mbox{$\resizebox{.09in}{.08in}{\includegraphics[trim= 1em 0 14em 0, clip]{BoldR}}$}}}
% \def\hrcurs{{\mbox{$\hat \brcurs$}}}
% Substitute french Cursive font for script r:
\newcommand\rcurs{\text{\usefont{T1}{frc}{m}{sl}r}}
\newcommand\brcurs{\text{\usefont{T1}{frc}{bx}{sl}r}}
\newcommand\hrcurs{\boldsymbol{\skew{4}{\hat}{\brcurs}}}
\begin{document}
\[V(\mathbf r)=\frac{1}{4\pi \epsilon_0}\int_{\mathcal V} \frac{\mathbf P(\mathbf r')\cdot \hrcurs}{\rcurs^2}d\tau'\]
\end{document}

script) It's all the way at the bottom. – Henri Menke Jul 01 '18 at 22:14