I know equation numbering is possible in a proof environment, as shown below in MWE1:
\documentclass[12pt,a4paper]{article}
\usepackage[latin1]{inputenc}
\usepackage{amsmath}
\usepackage{amsthm}
\usepackage{amsfonts}
\usepackage{amssymb}
\usepackage[left=2.00cm, right=2.00cm, top=2.00cm, bottom=2.00cm]{geometry}
\begin{document}
\begin{proof}
A+B=C
\begin{equation}
G(t)=L\gamma!\,t^{-\gamma}+t^{-\delta}\eta(t) \qedhere
\end{equation}
\end{proof}
\end{document}
But I want the equations to be aligned. Thus I need \begin{align}...\end{align}, as shown in the MWE2 below:
\documentclass[12pt,a4paper]{article}
\usepackage[latin1]{inputenc}
\usepackage{amsmath}
\usepackage{amsthm}
\usepackage{amsfonts}
\usepackage{amssymb}
\usepackage[left=2.00cm, right=2.00cm, top=2.00cm, bottom=2.00cm]{geometry}
\begin{document}
\begin{proof}
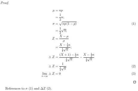
\begin{align}
\mu &= np \nonumber\\
&= \textonehalf n;\nonumber\\
\begin{equation}
\sigma &= \sqrt{np\left(1-p\right)}\\
\end{equation}
&= \textonehalf \sqrt{n};\nonumber\\
Z &= \dfrac{X-\mu}{\sigma} \nonumber\\
&= \frac{X-\textonehalf n}{\textonehalf \sqrt{n}};\nonumber\\
\vartriangle Z&= \frac{\left(X+1\right)-\textonehalf n}{\textonehalf
\sqrt{n}} - \frac{X-\textonehalf n}{\textonehalf \sqrt{n}} \nonumber\\
\begin{equation}
\vartriangle Z&= \dfrac{1}{\textonehalf \sqrt{n}}\\
\end{equation}
\lim_{n \to \infty} \vartriangle Z &= 0
\end{align}
\end{proof}
\end{document}
But there is an error in MWE2. How do I assign equation numbers to some selected equations in a proof environment while aligning all the equations? I want the equation number so that I can label (\label{}) such equations and reference (\ref{}) it within the document. I want the alignment along the equation signs, so that it will look aesthetical and professional.


equationhad not be nested inalignenvironment. – Zarko Jun 21 '18 at 19:28\textonehalfshould not be used in math mode. If you want a small fraction, use\tfrac{1}{2}. – egreg Jun 21 '18 at 19:47equationenvironment in the first place. The only thing I can think of is that you wanted the numbering provided byequation. But surely you realize all those\nonumbercommands were what was removing the equation numbers in the first place? – Teepeemm Jun 21 '18 at 21:22