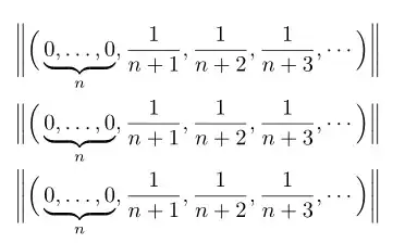
You also can use \smash[b] with an optional argument, in case you want to take into account the height of the upper part. I suggest simplifying the code introducing the \norm command with \DeclarePairedDelimiter from mathtools: it defines a star version which adds a pair of implicit \left ...\right in front of the delimiters. The non-star version accepts as an optional argument one of \big, \Big, \bigg and \Bigg, which adds an implicit \bigl ... \bigr, &c.
Note that, adding in your code a pair of size commands for delimiters, you should always use a pair of \bigl... \bigr, not \big ... \big, to ensure a proper horizontal spacing.
\documentclass{article}
\usepackage{mathtools}
\DeclarePairedDelimiter{\norm}\|\|
\begin{document}
\begin{gather*}
\norm*{\Bigl( \,\smash[b]{\underbrace{0,\ldots,0}_n}, \frac 1 {n+1}, \frac 1 {n+2}, \frac 1 {n+3}, \ldots \Bigr)}\\[1.5ex]
\norm[\Big]{\Bigl( \,\smash[b]{\underbrace{0,\ldots,0}_n}, \frac 1 {n+1}, \frac 1 {n+2}, \frac 1 {n+3}, \ldots \Bigr)} \\[1.5ex]
\norm[\bigg]{\Bigl( \,\smash[b]{\underbrace{0,\ldots,0}_n}, \frac 1 {n+1}, \frac 1 {n+2}, \frac 1 {n+3}, \ldots \Bigr)}
\end{gather*}
\end{document}

\bigl/\bigrare usually better choices than\big(https://tex.stackexchange.com/q/19480/35864, https://tex.stackexchange.com/q/1232/35864). Some people prefer the manual size over the automatic\left/\rightbecause the automatic sizes can be too small or too large in certain cases. All of this holds for TeX/LaTeX, there are subtle differences between TeX and MathJax and I don't know whether this are is one. – moewe Jun 09 '18 at 13:42