I want to customise my numbering for a single equation within a multi-line equation, whilst within the {equation} and {\align} environments. The following demonstrates what I'm trying to do, but does not compile:
\documentclass[fleqn, 12pt]{article}
\usepackage{amsmath,amsfonts,amssymb}
\usepackage{graphicx}
\graphicspath{ {./images/} }
\setlength{\parskip}{\baselineskip}%
\setlength{\parindent}{0pt}%
\begin{document}
\raggedright
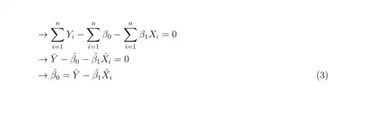
\begin{equation}
\begin{aligned}
&\rightarrow \sum\limits_{i = 1}^n Y_i - \sum\limits_{i = 1}^n \beta_0 - \sum\limits_{i = 1}^n \beta_1 X_i = 0 \\
&\rightarrow \bar{Y} - \hat{\beta_0} - \hat{\beta_1}\hat{X_i} = 0 \\
&\rightarrow \hat{\beta_0} = \bar{Y} - \hat{\beta_1}\hat{X_i} \tag{3}\label{eq:3}
\end{aligned}
\end{equation}
\end{document}
So the only equation that I want to be numbered is the line
&\rightarrow \hat{\beta_0} = \bar{Y} - \hat{\beta_1}\hat{X_i} \tag{3}\label{eq:3}
And I want it to be labelled (3).
I've tried the solutions in this question, but, unfortunately, I haven't been able to get them to work.
I would greatly appreciate it if people could demonstrate how I can do this.
