I have this equation and I got a error about \right] but it is in my code.
What is wrong?
My code:
\usepackage{amsmath}
\newcommand{\barU}{\bar{U}}
\newcommand{\barV}{\bar{V}}
\newcommand{\barW}{\bar{W}}
\newcommand{\barP}{\bar{P}}
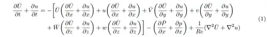
\begin{equation}
\begin{aligned}
\label{eq:mx2}
%-------------
\frac{\partial\barU}{\partial t} + \frac{\partial u}{\partial t} &= -\left[\barU\left(\frac{\partial \barU}{\partial x} +
\frac{\partial u}{\partial x}\right) + u\left(\frac{\partial \barU}{\partial x} +
\frac{\partial u}{\partial x}\right) + \barV\left(\frac{\partial \barU}{\partial y} +
\frac{\partial u}{\partial y}\right) + v\left(\frac{\partial \barU}{\partial y} +
\frac{\partial u}{\partial y}\right) + \\
&\barW\left(\frac{\partial \barU}{\partial z} +
\frac{\partial u}{\partial z}\right) + w\left(\frac{\partial \barU}{\partial z} +
\frac{\partial u}{\partial z}\right)\right] - \left(\frac{\partial \barP}{\partial x} + \frac{\partial p}{\partial x}\right) +
\frac{1}{Re}(\nabla^2\barU + \nabla^2u)
\end{aligned}
\end{equation}
The result:
Why the \right] doesn't appears?



\right]? – May 26 '18 at 20:18\left[and onde\right]right? But if you look my result the\right]doesn't appear, just the\left[. – Mateus May 26 '18 at 20:23\right]. This is because you introduced a linebreak between\left]and\right]. Information on how to resolve this can be found here: How to make \left, \right pairs of delimiter work over multiple lines? – leandriis May 26 '18 at 20:26