Is there a cleaner way to align all equations to the left?
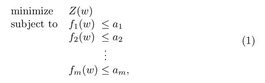
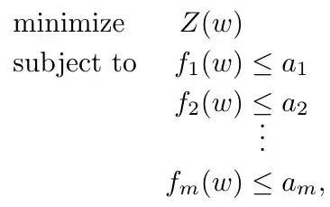
The code below generates this equation:
whose split-equations are not 100% aligned.
\documentclass{article}
\usepackage{amsmath}
\usepackage{breqn}
\begin{document}
\begin{equation}
\begin{split}
&\text{minimize \quad} Z(w) \\
&\text{subject to\quad } f_1(w) \leq a_1\\
&\quad \quad \quad \quad \quad f_2(w) \leq a_2 \\
&\quad \quad \quad \quad \quad \quad \quad \vdots\\
&\quad \quad \quad \quad \quad f_m(w) \leq a_m,
\end{split}
\end{equation}
\end{document}






>{}feature of thearraypackage to automatically inject the empty subformula in the third column. – GuM May 25 '18 at 01:10