What can I do to the square root symbols have the same size.
Asked
Active
Viewed 514 times
5
Torbjørn T.
- 206,688
Slayer147
- 197
1 Answers
5
A quick fix:
\[
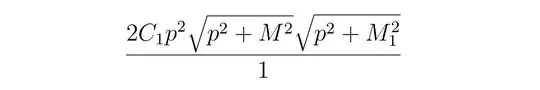
\frac{2C_1 p^2 \sqrt{p^2+M_{}^2}\sqrt{p^2+M_1^2}}{1}
\]
The second square root symbol is higher because of the M_1^2 inside it has both a subscript and a super script. In this case, the super script moves upward a little bit to leave room for the subscript. The simple solution is to add a surplus _{} for the first M^2 inside the first root. If you need the exact same height, then use M_{\phantom{1}}^2.
AboAmmar
- 46,352
- 4
- 58
- 127
-
This problem arises if you try to centralize the formula by using double sign $$\frac{2C_1 p^2 \sqrt{p^2+M_{}^2}\sqrt{p^2+M_1^2}}{1}$$ – Boris May 22 '18 at 21:46
-
4


\mathstrutin each\sqrt. Or, in the first\sqrtapply\vphantom{M_1^2}. – Peter Grill May 22 '18 at 21:53