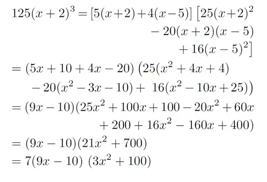
The output of:
\documentclass{book}
\usepackage{amsmath}
\usepackage{breqn}
\setlength{\textwidth}{190pt}
\begin{document}
\begin{dgroup*}
\begin{dmath*}
125(x+2)^{3}= \left [5(x+2)+4(x- 5)\right ]\left [25(x+2)^{2}- 20(x+2)(x- 5)+16(x- 5)^{2}\right ]
\end{dmath*}
\begin{dmath*}
= (5x+10+4x- 20)\left (25(x^{2}+4x+4)- 20(x^{2}- 3x- 10)+\, \, 16(x^{2}- 10x+25)\right )
\end{dmath*}
\begin{dmath*}
= (9x- 10)(25x^{2}+100x+100- 20x^{2}+60x+200+16x^{2}- 160x+400)
\end{dmath*}
\begin{dmath*}
= (9x- 10)(21x^{2}+700)
\end{dmath*}
\begin{dmath*}
= 7(9x- 10)\, \, (3x^{2}+100)
\end{dmath*}
\end{dgroup*}
\end{document}
How to get the all equations to align at the = symbol and is there a way that we can align all the broken equation right after the = symbol?


\setlength{\textwidth}{190pt}? Can it be omitted? (190pt is only 6.68cm or 2.63" -- not exactly a lot of space to work with.) – Mico Mar 24 '18 at 11:17