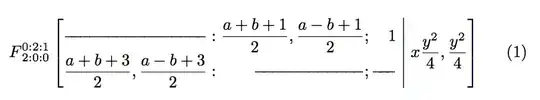
I'm trying to reproduce the way the Kampé de Fériet function is typeset in a paper. Here's a screenshot:

Here's what I've got:
\documentclass{article}
\usepackage{amstext, amsmath, amssymb}
\makeatletter
\newcommand{\longdash}[1][2em]{%
\makebox[#1]{$\m@th\smash-\mkern-7mu\cleaders\hbox{$\mkern-2mu\smash-\mkern-2mu$}\hfill\mkern-7mu\smash-$}}
\makeatother
\newcommand{\omitskip}{\kern-\arraycolsep}
\newcommand{\llongdash}[1][2em]{\longdash[#1]\omitskip}
\newcommand{\rlongdash}[1][2em]{\omitskip\longdash[#1]}
\begin{document}
\begin{equation}
F_{2:0:0}^{0:2:1}\left[{\llongdash :\dfrac{a+b+1}{2},\dfrac{a-b+1}{2};1\atop \dfrac{a+b+3}{2},\dfrac{a-b+3}{2}:\llongdash;\rlongdash}\Bigg\vert x\dfrac{y^2}{4},\dfrac{y^2}{4}\right]
\end{equation}
\end{document}
It's close but not quite. The subscript and subperscript appear to be slightly shifted horizontally. Worse yet, the parameters (or arguments of the function) appear to be misaligned as well. Any advise?
The long dashes were borrowed from here.



\,) can do the job. For the next problems I would suggest anarray(Search for this) – koleygr Feb 26 '18 at 21:23\/) after the F:F\/_{2:0:0}^{0:2:1}– Phelype Oleinik Feb 26 '18 at 21:24