I use a lot the unicode-math package to type directly unicode in the source, but there are some side effects that I do not fully understand.
Here is a MWE with just an equation:
\documentclass{article}
\usepackage{amsmath}
%\usepackage{unicode-math}
\begin{document}
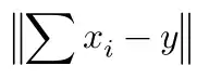
\[\left\lVert \sum x_i-y \right\rVert\]
\end{document}
which produces:
Now here is what I get if I load the unicode-math package :
As you can see, the spacing is not the same, and the height of the \lVert and \rVert symbols is reduced.
So is it the expected behavior ? Is it a problem with loading order (it does not change anything if I load unicode-math first, though) ? Should I load some additional package ?
Note that the MWE does not use unicode, but in practice I do, so I would really like to understand how to get both working together, not a workaround to avoid using unicode-math.


utf8x,unixode,unicode-math– user202729 Sep 12 '21 at 00:39