Please see the image? How to write this in latex?
Asked
Active
Viewed 148 times
0
Hood Chatham
- 5,467
Pervesh Anthwal
- 31
- 1
1 Answers
1
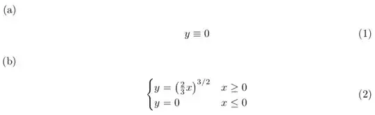
\documentclass{article}
\usepackage{amsmath}
\usepackage{enumerate}
\begin{document}
\begin{enumerate}[(a)]
\item
\begin{align}
y \equiv 0 &
\end{align}
\item
\begin{align}
\begin{cases}
y = \left(\frac{2}{3}x\right)^{3/2} & x \ge 0 \\
y = 0 & x \le 0
\end{cases}
\end{align}
\end{enumerate}
\end{document}
Nakrule
- 741
-
Thanks for taking care of this! Would you mind moving
xto the numerator and replacing=by\equivto make the thing a bit closer to the OP's picture? – Feb 05 '18 at 21:56


casesenvironment of theamsmathpackage. – Steven B. Segletes Feb 05 '18 at 19:47