I’m not sure I’ve understood what you want: see if this can do.

This output is generated by the following code:
% My standard header for TeX.SX answers:
\documentclass[a4paper]{article} % To avoid confusion, let us explicitly
% declare the paper format.
\usepackage[T1]{fontenc} % Not always necessary, but recommended.
% End of standard header. What follows pertains to the problem at hand.
\usepackage{amsmath}
\begin{document}
Text before the equation.
\begin{alignat*}{1}
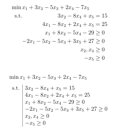
\min\quad & x_1+3x_2-5x_3+2x_4-7x_5 \\
\text{s.t.}\quad &
\begin{aligned}[t]
3x_2-8x_4+x_5 &= 15\\
4x_1-8x_2+2x_4+x_5 &= 25\\
x_1+8x_2-5x_4-29 &\geq 0\\
-2x_1-5x_2-5x_3+3x_5+27 &\geq 0\\
x_2, x_4 &\geq 0\\
-x_5 &\geq 0
\end{aligned}
\end{alignat*}
Text after the equation.
\end{document}
Still another possibility:

The code:
% My standard header for TeX.SX answers:
\documentclass[a4paper]{article} % To avoid confusion, let us explicitly
% declare the paper format.
\usepackage[T1]{fontenc} % Not always necessary, but recommended.
% End of standard header. What follows pertains to the problem at hand.
\usepackage{amsmath}
\begin{document}
Text before the equation.
\begin{alignat*}{1}
\min\quad & x_1+3x_2-5x_3+2x_4-7x_5 \\
\text{s.t.}\quad &
\left\{
\begin{aligned}
3x_2-8x_4+x_5 &= 15\\
4x_1-8x_2+2x_4+x_5 &= 25\\
x_1+8x_2-5x_4-29 &\geq 0\\
-2x_1-5x_2-5x_3+3x_5+27 &\geq 0\\
x_2, x_4 &\geq 0\\
-x_5 &\geq 0
\end{aligned}
\right.
\end{alignat*}
Text after the equation.
\end{document}
eqnarrayvsalignbefore going any further... – Werner Jan 15 '18 at 21:28eqnarray(which is not advised) then you have all the&in the wrong place, they should be around the operator sox_1+8x_2-5x_4-29 &\geq& 0\\and same on every other line, so that you get a central column with all the operators aligned. – David Carlisle Jan 15 '18 at 21:35