I was importing symbols from the stix package (brackets in particular) following the directives given here on tex.stackexchange when something really strange happend, which I presume has to deal with the font encoding LS2. In particular I imported the sequent symbols, succesfully
\DeclareFontEncoding{LS2}{}{}
\DeclareFontSubstitution{LS2}{stix}{m}{n}
\DeclareSymbolFont{largesymbols}{LS2}{stixex}{m}{n}
\DeclareMathDelimiter{\lBrace}{\mathopen}{largesymbols}{"E8}{largesymbols}{"0E}
\DeclareMathDelimiter{\rBrace}{\mathclose}{largesymbols}{"E9}{largesymbols}{"0F}
\DeclareMathDelimiter{\lBrack}{\mathopen}{largesymbols}{"E0}{largesymbols}{"06}
\DeclareMathDelimiter{\rBrack}{\mathclose}{largesymbols}{"E1}{largesymbols}{"07}
\DeclareSymbolFont{largesymbolsstix}{LS2}{stixex}{m}{n}
\DeclareMathDelimiter{\lbrbrak}{\mathopen}{largesymbolsstix}{"EE}{largesymbolsstix}{"14}
\DeclareMathDelimiter{\rbrbrak}{\mathclose}{largesymbolsstix}{"EF}{largesymbolsstix}{"15}
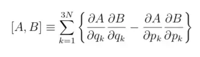
which are exactly what I want. But the problem is that all the basic latex symbols seem to be gone; a simple code, with a sum, and some partial derivatives, for example, gives this bad outcome
where the right symbol now are only the two imported brace \lBrace and \rBrace. Now, if I comment the part in which I declare the symbols
\DeclareFontEncoding{LS2}{}{}
\DeclareFontSubstitution{LS2}{stix}{m}{n}
% \DeclareSymbolFont{largesymbols}{LS2}{stixex}{m}{n}
% \DeclareMathDelimiter{\lBrace}{\mathopen}{largesymbols}{"E8}{largesymbols}{"0E}
% \DeclareMathDelimiter{\rBrace}{\mathclose}{largesymbols}{"E9}{largesymbols}{"0F}
% \DeclareMathDelimiter{\lBrack}{\mathopen}{largesymbols}{"E0}{largesymbols}{"06}
% \DeclareMathDelimiter{\rBrack}{\mathclose}{largesymbols}{"E1}{largesymbols}{"07}
% \DeclareSymbolFont{largesymbolsstix}{LS2}{stixex}{m}{n}
% \DeclareMathDelimiter{\lbrbrak}{\mathopen}{largesymbolsstix}{"EE}{largesymbolsstix}{"14}
% \DeclareMathDelimiter{\rbrbrak}{\mathclose}{largesymbolsstix}{"EF}{largesymbolsstix}{"15}
everything is back to normality, but with no more the two brackets desired from the stix package (I replaced manually the two braces, otherwise it would have not compiled):
Does anyone know how to fix it? Thanks!
EDIT:
I found that the true problem comes with the \DeclareSymbolFont{largesymbols}{LS2}{stixex}{m}{n}, as there is already a default setup for the class largesymbols, which is \DeclareSymbolFont{largesymbols}{OMX}{cmex}{m}{n}. But the problem still stands still, as the one exclude the other. How can I use those symbols along with the standard latex ones?



largesymbolname. Anyway this solves the problem so best answer for you!:-)– GiuTeX Dec 01 '17 at 20:21