You should never use eqnarray, see eqnarray vs align. Here the solution seems to be multline:
\documentclass{article}
\usepackage{amsmath}
\begin{document}
\begin{multline}
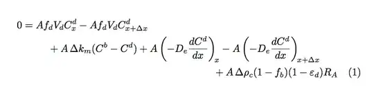
0 = A f_d V_d C_x^d - A f_d V_d C_{x+\Delta x}^d \\
+ A \,\Delta k_m(C^b-C^d)
+A\left(-D_e\frac{dC^d}{dx}\right)_{\!x} - A\left(-D_e\frac{dC^d}{dx}\right)_{\!x+\Delta x} \\
+ A\,\Delta\rho_c(1-f_b)(1-\varepsilon_d)R_A
\end{multline}
\end{document}
I've made a couple of manual adjustments: \! in front of the subscripts following \right), so they are placed nearer the bottom of the parenthesis; I also added \, in front of \Delta when it follows a factor, in order to make clearer it is not a multiplier, but an operator.

You may want to define a command for this, so \Delta as an operator is distinguished from the letter.
\documentclass{article}
\usepackage{amsmath}
\newcommand{\opDelta}{\mathop{}\!\Delta}
\begin{document}
\begin{multline}
0 = A f_d V_d C_x^d - A f_d V_d C_{x+\opDelta x}^d \\
+ A \opDelta k_m(C^b-C^d)
+A\left(-D_e\frac{dC^d}{dx}\right)_{\!x} - A\left(-D_e\frac{dC^d}{dx}\right)_{\!x+\opDelta x} \\
+ A\opDelta\rho_c(1-f_b)(1-\varepsilon_d)R_A
\end{multline}
\end{document}
A similar treatment should be used for the “differential d”:
\newcommand{\diff}{\mathop{}\!d}
Finally your image suggests the formula before “reads” is typed in as
$x$+$\Delta x$
which is wrong and should be
$x+\Delta x$
or, with the new command
$x+\opDelta x$
alignenvironment for multiple lines, but i don't see any&indicating alignment points. (&is ordinarily placed before signs of relation, and, with a\quadspace following the&, before signs of operation.) since the second line is very long, it may just exceed the specified page width; in that case, breaking the second line earlier is probably a good idea. – barbara beeton Nov 15 '17 at 18:07