With a trick similar to the one in https://tex.stackexchange.com/a/209732/4427
\documentclass{article}
\usepackage[T1]{fontenc}
\usepackage[utf8]{inputenc}
\usepackage[brazil]{babel}
\usepackage{amsmath}
\newcommand{\pder}[3][]{%
\frac{\partial^{#1} #2}{\partial #3^{#1}}%
}
\makeatletter
\newcommand{\colwidth@}[1]{%
\ifcase\expandafter#1\maxcolumn@widths\fi
}
\newcommand{\Cen}[1]{%
\ifmeasuring@
\else
\makebox[0pt][l]{%
\kern-\colwidth@{1}%
\makebox[\dimexpr\colwidth@{1}+\colwidth@{2}]{$\displaystyle#1$}%
}%
\fi&
}
\makeatother
\begin{document}
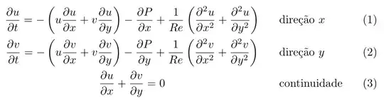
\begin{align}
\label{eq:mx}
\pder{u}{t} &= - \left(u\pder{u}{x} + v\pder{u}{y}\right) - \pder{P}{x} +
\frac{1}{Re}\left(\pder[2]{u}{x} + \pder[2]{u}{y}\right)
&&
\text{direção $x$}
\\
\label{eq:my}
\pder{v}{t} &= - \left(u\pder{v}{x} + v\pder{v}{y}\right) - \pder{P}{y} +
\frac{1}{Re}\left(\pder[2]{v}{x} + \pder[2]{v}{y}\right)
&&
\text{direção $y$}
\\
\label{eq:cm}
\Cen{\pder{u}{x} + \pder{v}{y} = 0}
&&\text{continuidade}
\end{align}
\end{document}

Alternative, without centering the last line:
\documentclass{article}
\usepackage[T1]{fontenc}
\usepackage[utf8]{inputenc}
\usepackage[brazil]{babel}
\usepackage{amsmath}
\newcommand{\pder}[3][]{%
\frac{\partial^{#1} #2}{\partial #3^{#1}}%
}
\begin{document}
\begin{align}
\label{eq:mx}
\pder{u}{t} &= - \left(u\pder{u}{x} + v\pder{u}{y}\right) - \pder{P}{x} +
\frac{1}{Re}\left(\pder[2]{u}{x} + \pder[2]{u}{y}\right)
&&
\text{direção $x$}
\\
\label{eq:my}
\pder{v}{t} &= - \left(u\pder{v}{x} + v\pder{v}{y}\right) - \pder{P}{y} +
\frac{1}{Re}\left(\pder[2]{v}{x} + \pder[2]{v}{y}\right)
&&
\text{direção $y$}
\\
\label{eq:cm}
\pder{u}{x} &+ \pder{v}{y} = 0
&&\text{continuidade}
\end{align}
\end{document}

An alternative approach is with IEEEeqnarray of IEEEtrantools:
\documentclass{article}
\usepackage[T1]{fontenc}
\usepackage[utf8]{inputenc}
\usepackage[brazil]{babel}
\usepackage{amsmath}
\usepackage{IEEEtrantools}
\newcommand{\pder}[3][]{%
\frac{\partial^{#1} #2}{\partial #3^{#1}}%
}
\begin{document}
\begin{IEEEeqnarray}{rCl'l}
\label{eq:mx}
\pder{u}{t} &=& - \left(u\pder{u}{x} + v\pder{u}{y}\right) - \pder{P}{x} +
\frac{1}{Re}\left(\pder[2]{u}{x} + \pder[2]{u}{y}\right)
&
\text{direção $x$}
\\
\label{eq:my}
\pder{v}{t} &=& - \left(u\pder{v}{x} + v\pder{v}{y}\right) - \pder{P}{y} +
\frac{1}{Re}\left(\pder[2]{v}{x} + \pder[2]{v}{y}\right)
&
\text{direção $y$}
\\
\IEEEeqnarraymulticol{3}{c}{\pder{u}{x} + \pder{v}{y} = 0}
&\text{continuidade}
\label{eq:cm}
\end{IEEEeqnarray}
\end{document}
