1

Is there a command that adapts automatically the size of the parentheses at the terms of the equations?

For example, in my ocasion I used \Big( but it's seems not enough. I think could be more bigger.

enter image description here

Mateus
  • 451
  • I think you are looking for \left( and \right) – koleygr Oct 26 '17 at 23:35
  • Usually it's better to choose the size yourself. There's a difference in spacing between left and right delimiters, so you should use the pairs \bigl...\bigr, \Bigl...\Bigr, \biggl...\biggr, \Biggl...\Biggr. – Bernard Oct 27 '17 at 00:01
  • Related: https://tex.stackexchange.com/questions/267171/nested-mathematical-functions and https://tex.stackexchange.com/questions/360996/universal-parentheses – Steven B. Segletes Oct 27 '17 at 00:53

2 Answers2

3

Use \left and \right to wrap brackets. In your case you'd write

\frac{\partial u}{\partial t} = - \left( u \frac{\partial u}{\partial x} + ... \right) + ...

where I haven't typed out your full equation but I hope you can see where it's going from here.

3

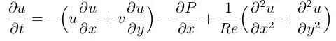
There's a difference in spacing between left and right delimiters. In general you obtain a better result choosing yourself the delimiters size, so you should use pairs \Bigl/\Bigr and the like. There 4 sizes for manual adjustment: \bigl/\bigr, \Bigl/\Bigr, \biggl/\biggr, \Biggl/\Biggr. Here is an example, in which I also loaded the esdiff package, which simplifies the typing of derivatives, partial or not:

\documentclass{article}

\usepackage[utf8]{inputenc}
\usepackage[T1]{fontenc} 
\usepackage{lmodern}
\usepackage{esdiff}

\begin{document}

\[ \diffp{u}{t} = -\biggl(u\diffp{u}{x} + v\diffp{u}{y}\biggr)-\diffp{P}{x} + \frac{1}{Re}\Bigl(\diffp[2]{u}{x} +\diffp[2]{u}{y} \Bigr)\]%

\end{document}

enter image description here

Bernard
  • 271,350