I have these aligned equations for which I would like to have a single equation number. I found that this can be simply solved by embedding an aligned environment in an equation, but now I have on formula for which the last line is too long to add an equation number to the right. This causes the equation number, which would actually fit nicely to the right if vertically centred, to be wrapped below the equation.
\documentclass[12pt, oneside]{scrbook}
\usepackage{amsmath}
\DeclareMathOperator{\E}{E}
\newcommand{\with}{\;;}
\newcommand{\dx}[1]{\mathop{\mathrm{d}#1}}
\newcommand{\expect}[2][]{\E_{#1} \left[#2\right]}
\begin{document}
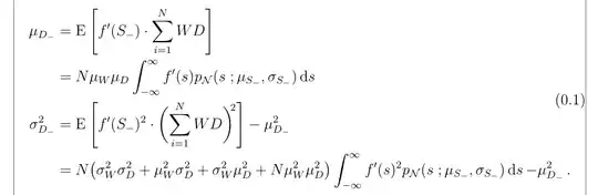
\begin{equation}
\begin{aligned}
\mu_{D_-} & = \expect{f'(S_-) \cdot \sum_{i=1}^{N} W D} \\
& = N \mu_W \mu_D \int_{-\infty}^{\infty} f'(s) p_\mathcal{N}(s \with \mu_{S_-}, \sigma_{S_-}) \dx{s} \\
\sigma_{D_-}^2 & = \expect{f'(S_-)^2 \cdot \left(\sum_{i=1}^{N} W D\right)^2} - \mu_{D_-}^2 \\
& = N \left(\sigma_W^2 \sigma_D^2 + \mu_W^2 \sigma_D^2 + \sigma_W^2 \mu_D^2 + N \mu_W^2 \mu_D^2\right) \int_{-\infty}^{\infty} f'(s)^2 p_\mathcal{N}(s \with \mu_{S_-}, \sigma_{S_-}) \dx{s} - \mu_{D_-}^2 \,.
\end{aligned}
\end{equation}
\end{document}
It just bothers me slightly and I was wondering whether there is a way to force a vertically centred equation number in this case. I found this answer, but all of the things that I have tried to shorten that expression were unsuccessful. I also would like to keep the last expression on one line to stay consistent with the rest of my document.
Is there any way to force the equation number vertically centred to the right, although my last expression is too long? Or any trick to make the equation believe that the aligned part is not as long as it actually is, so that the equation number appears vertically centred on the right (above the equation that would be too long)?



