Edit: See the last code for the suggested solution
Old answer:
Seems that typing the Greek letters by a Greek keyboard solves the problem.
After many tests, found that the next code works with my font:
\documentclass[11pt,oneside]{article}
\usepackage{amsmath}
\usepackage[MnSymbol]{mathspec}
\usepackage{MnSymbol}
\defaultfontfeatures{Ligatures=TeX}
\setallmainfonts{Linux Libertine O}
\usepackage{polyglossia}
\setmainlanguage{greek}
\setotherlanguage{english}
\setmainfont{Linux Libertine O}
%\newfontfamily\greekfont{Linux Libertine O}
\begin{document}
\selectlanguage{english}
\begin{equation}
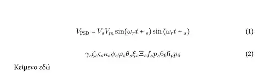
V_\text{PSD}= V_sV_m\sin(\omega_r t + φ_{s})\sin\left(\omega_r t + φ_s\right)
\end{equation}
\begin{equation}γ_s ζ_s ς_s κ_s φ_{s} \varphi_s θ_s ξ_s Ξ_s f_s p_s 6_6 6_p p_6
\end{equation}
\begin{equation}\gamma_s \zeta_s \varsigma_s \kappa_s \phi_{s} \varphi_s \theta_s \xi_s \Xi_s f_s p_s 6_6 6_p p_6
\end{equation}
\selectlanguage{greek}
Κείμενο εδώ
\end{document}
Try with your font too.
Output:

As you can see, the equation (2) where greek letters typed from a greek keyboard gives enough better results.
PS: You don't have to use greek as mainlanguage... You may remove it if not installed or something.
And without \setallmainfonts{Linux Libertine O}
(with system default math fonts for greek -just for comparsion-)
I get:

Edit (suggested solution):
Many people want to use greek letters but they don't have a greek keyboard. But even they do have one, it is a bad practice (in my opinion) to write from the keyboard greek letters in your math. (Let's suppose you want to create a latex code from your xelatex or you want to translate in other language and don't want to change your math code too). Then the solution is to write with the usual way your math and just redefine the greek letters in your preamble as shown below:
\documentclass[11pt,oneside]{article}
\usepackage{amsmath}
\usepackage[MnSymbol]{mathspec}
\usepackage{MnSymbol}
\defaultfontfeatures{Ligatures=TeX}
\setallmainfonts{Linux Libertine O}
\usepackage{polyglossia}
\setmainlanguage{greek}
\setotherlanguage{english}
\setmainfont{Linux Libertine O}
%\newfontfamily\greekfont{Linux Libertine O}
% Definitions of Greek (in math mode)
\def\alpha{α}
\def\beta{β}
\def\gamma{γ}
\def\delta{δ}
\def\epsilon{ε}
\def\zeta{ζ}
\def\eta{η}
\def\theta{θ}
\def\iota{ι}
\def\kappa{κ}
\def\lambda{λ}
\def\mu{μ}
\def\nu{ν}
\def\xi{ξ}
%\def\ο{o}
\def\pi{π}
\def\rho{ρ}
\def\sigma{σ}
\def\tau{τ}
\def\upsilon{υ}
\def\phi{φ}
\def\varphi{ϕ}
\def\chi{χ}
\def\psi{ψ}
\def\omega{ω}
\def\varsigma{ς}
\def\varrho{ϱ}
\def\vartheta{ϑ}
\def\Alpha{Α}
\def\Beta{Β}
\def\Gamma{Γ}
\def\Delta{Δ}
\def\Epsilon{Ε}
\def\Zeta{Ζ}
\def\Eta{Η}
\def\Theta{Θ}
\def\Iota{Ι}
\def\Kappa{Κ}
\def\Lambda{Λ}
\def\Mu{Μ}
\def\Nu{Ν}
\def\Xi{Ξ}
%\def\Ο{O}
\def\Pi{Π}
\def\Rho{Ρ}
\def\Sigma{Σ}
\def\Tau{Τ}
\def\Upsilon{Υ}
\def\Phi{Φ}
\def\Chi{Χ}
\def\Psi{Ψ}
\def\Omega{Ω}
\begin{document}
\selectlanguage{english}
English text
\[
\alpha_{α}
\beta_{β}
\gamma_{γ}
\delta_{δ}
\epsilon_{ε}
\zeta_{ζ}
\eta_{η}
\theta_{θ}
\iota_{ι}
\kappa_{κ}
\lambda_{λ}
\mu_{μ}
\nu_{ν}
\xi_{ξ}
%\ο_{o}
\pi_{π}
\rho_{ρ}
\sigma_{σ}
\tau_{τ}
\upsilon_{υ}
\phi_{φ}
\varphi_{ϕ}
\chi_{χ}
\psi_{ψ}
\omega_{ω}
\varsigma_{ς}
\varrho_{ϱ}
\vartheta_{ϑ}\]
\[
\Alpha_{Α}
\Beta_{Β}
\Gamma_{Γ}
\Delta_{Δ}
\Epsilon_{Ε}
\Zeta_{Ζ}
\Eta_{Η}
\Theta_{Θ}
\Iota_{Ι}
\Kappa_{Κ}
\Lambda_{Λ}
\Mu_{Μ}
\Nu_{Ν}
\Xi_{Ξ}
%\Ο_{O}
\Pi_{Π}
\Rho_{Ρ}
\Sigma_{Σ}
\Tau_{Τ}
\Upsilon_{Υ}
\Phi_{Φ}
\Chi_{Χ}
\Psi_{Ψ}
\Omega_{Ω}
\]
\selectlanguage{greek}
Ελληνικό κείμενο εδώ
\end{document}
Output:
