I am trying to annotate an equation using tikz. I'd like to highlight a part of that equation using a tikz node, but the left part of the equation gets covered:
\documentclass[varwidth, border={0pt 4pt 0pt 4pt}]{standalone}
\usepackage{tikz}
\begin{document}
$y(x) = g(x)f(x)h(x)$
\bigskip
$y(x) = g(x)
\tikz[remember picture, overlay]{
\node[fill=gray!20, inner sep=4pt, anchor=text, rectangle, rounded corners=1mm]{$f(x)$};
}
\phantom{f(x)}
h(x)$
\end{document}
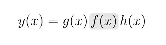
The first part of the equation, g(x), gets covered by the node, while the right hand side, h(x), doesn't, because it appears after the node in the LaTeX code:
Instead, I would like to have the node in the background, behind the rest of the equation, while preserving the original spacing within the equation:






