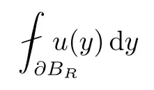
How can I do this symbole in latex ? (if possible with the barre of the middle more straight).
Asked
Active
Viewed 1.0k times
2 Answers
8
The symbol already exists in esint:
\documentclass[ a4paper]{article}
\usepackage{mathtools}
\usepackage{esint}
\newcommand*{\dd}{\mathop{}\!\mathrm{d}}
\begin{document}
\[ \fint_{\partial\mathrlap{B_{R}}}u(y)\dd y \]%
\end{document}
Bernard
- 271,350
-
-
1@HenrikSchumacher: Thank you for your kind appreciation! Actually, credit is not mine: if I remember well, I borrowed it from an answer of egreg on this site. – Bernard Dec 31 '20 at 10:57
7
Some fonts have such an integral sign built in, but if not, you can always stack a - or $-$ over one.
\documentclass{article}
\usepackage{stackengine}
\stackMath
\begin{document}
$\stackinset{c}{}{c}{}{\mkern1.5mu\mbox{-}}{\int}x\,dx$
$\displaystyle\stackinset{c}{}{c}{}{-\mkern4mu}{\displaystyle\int_0^t}x\,dx$
\end{document}
Built in examples include versions with a slanted bar (denoted \fint) as well as some versions with a horizontal bar.
Those packages with a slanted \fint include: txfonts, pxfonts, esint, and stix.
Versions with a horizontal bar include:
\strokedintfrom theMnSymbolpackage, and\intbarfrom thestixpackage.
Steven B. Segletes
- 237,551
-
@barbarabeeton Yes I know they are slanted, similar to the OP's graphic. I will note that in my answer. – Steven B. Segletes Sep 20 '17 at 13:59
-
@barbarabeeton Thanks, I have edited my answer to reflect this new info. – Steven B. Segletes Sep 20 '17 at 14:38
-
@barbarabeeton I had explicitly mention at the end of my answer that the various
\fintmacros have a slanted bar. Need I do more, in your opinion? – Steven B. Segletes Sep 20 '17 at 15:01 -


