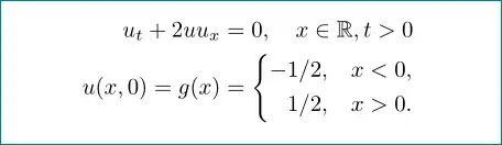
I need to write this
So far I started my code this way:
\documentclass{article}
\usepackage{amsmath}
\usepackage{amssymb}
\begin{document}
\begin{equation*}
\begin{cases}
u_t+2uu_x=0, & x \in \mathbb{R}, t>0\\
u(x,0)=g(x)=\begin{cases}
-1/2, & x<0,\\
1/2, & x>0.
\end{cases}
\end{cases}
\end{equation*}
\end{document}
I get a similar result, which is not really in the same format. The equation are not aligned according to the equal sign, and I have an extra open parenthesis which I don't know how to remove.



align*instead of an equation environment. Put&before the equal signs. – Johannes_B Sep 17 '17 at 11:13