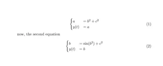
The code below generates the following figure:
Is there a way to align these two equations, like this:
i.e., align at the beginning of the bracket (not the at the equal signs!)
I have consulted several other questions, but they either did not have "cases", or they did not have equations labels. Thus the code will not work with labelled equations.
Does anyone know a catch-all method for aligning these types of equations? Thanks in advance!
\documentclass{article}
\usepackage[utf8]{inputenc}
\usepackage{amsthm}
\usepackage{amsmath}
\usepackage{graphicx}
\begin{document}
\begin{equation}
\label{eqn:equation1}
\begin{cases}
a &= b^2 + c^2\\
y(t) & = a
\end{cases}
\end{equation}
now, the second equation
\begin{equation}
\label{eqn:equation2}
\begin{cases}
b &= \sin(b^2) + c^2\\
y(t) & = b
\end{cases}
\end{equation}
\end{document}
Update: Please also assume that the equations are tagged
\begin{document}
\begin{equation}
\tag*{eq 1}
\label{eqn:equation1}
\begin{cases}
a &= b^2 + c^2\\
y(t) & = a
\end{cases}
\end{equation}
now, the second equation
\begin{equation}
\tag*{eq 2}
\label{eqn:equation2}
\begin{cases}
b &= \sin(b^2) + c^2\\
y(t) & = b
\end{cases}
\end{equation}
\end{document}




\intertext, see here: https://tex.stackexchange.com/questions/29119/sharing-alignment-between-equations-in-two-different-items, for example. – CarLaTeX Sep 13 '17 at 05:32caseshere doesn't really fit with the alignment of the equations within the brackets. The spacing is wrong between the LHS and RHS. – Werner Sep 13 '17 at 20:04