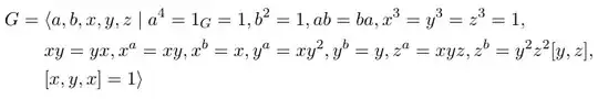
I propose a code adapted from the code for the set-builder notation described in the documentation of mathtools, nested in a medsize environment from nccmath; in order to make it fit in two lines.
I define a \GenRels command, with one argument in two parts: the generators and the relations, separated by a \st command. The size of the delimiters and the vertical rule adapts automatically to the size of the content if you use the star version of the command, which add implicit \left \middle \right at the relevant places. Alternatively, you can fine-tune the size of the delimiters using as an optional argument one of \big, \Big, \bigg, \Bigg:
\documentclass[11pt,a4paper]{article}
\usepackage[utf8]{inputenc}
\usepackage{amsfonts}
\usepackage[left=3.5cm, right=3cm, vmargin=3cm, showframe]{geometry}
\usepackage{graphicx}
\usepackage{mathtools, nccmath}
\usepackage{amsthm}
\usepackage{amssymb}
\providecommand\st{}
\newcommand\RelSymbol[1][]{%
\nonscript\:#1\vert
\allowbreak
\nonscript\:
\mathopen{}}
\DeclarePairedDelimiterX\GenRels[1]\langle\rangle{%
\renewcommand\st{\RelSymbol[\delimsize]}
#1}
\begin{document}
\mbox{}
\[ \GenRels*{ a, b, x, y, z \st
\begin{medsize}
\begin{aligned} & a^4 = 1_G =1,\enspace b^2 =1, \enspace ab=ba, \enspace x^3=y^3=z^3=1, \enspace xy=yx,\enspace x^a = xy, \\[-0.5ex] %
& x^b =x, \enspace y^a =xy^2,\enspace y^b =y,\enspace z^a =xyz,\enspace z^b = y^2z^2[y,z],\enspace [x, y, x]=1%
\end{aligned}
\end{medsize}
} \]
\end{document}
