So I can get this to work;
\documentclass{minimal}
\usepackage{isotope}
\begin{document}
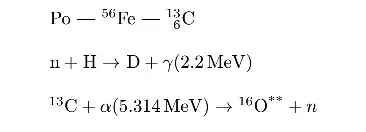
\isotope{Po} --- \isotope[56]{Fe} --- \isotope[13][6]{C}\\
$\isotope{n} + \isotope{H} \to \isotope{D} +
\gamma(2.2\,\mathrm{MeV})$ \\
$\isotope[13]{C} + \alpha(5.314\,\mathrm{MeV}) \to
\isotope[16]{O}^{**} + n$
\end{document}
and display and output something like this;
But when I do this...
\documentclass{minimal}
\usepackage[compatibility=5.8]{chemmacros}
\chemsetup{modules=all}
\begin{document}
\isotope{Po} --- \isotope[56]{Fe} --- \isotope[13][6]{C}\\
$\isotope{n} + \isotope{H} \to \isotope{D} +
\gamma(2.2\,\mathrm{MeV})$ \\
$\isotope[13]{C} + \alpha(5.314\,\mathrm{MeV}) \to
\isotope[16]{O}^{**} + n$
\end{document}
It all goes to pot. Errors about control sequences etc. I've read through the documentation a couple of times and pretty sure I'm doing it right.
! Missing number, treated as zero.
<to be read again>
\@elements@atom@name@num@[
l.6 \isotope{Po} --- \isotope[
56]{Fe} --- \isotope[13][6]{C}\\
A number should have been here; I inserted `0'.
(If you can't figure out why I needed to see a number,
look up `weird error' in the index to The TeXbook.)
! Missing \endcsname inserted.
<to be read again>
\__int_eval_end:
l.6 \isotope{Po} --- \isotope[
56]{Fe} --- \isotope[13][6]{C}\\
The control sequence marked <to be read again> should
not appear between \csname and \endcsname.
! Missing \endcsname inserted.
<to be read again>
\__int_to_roman_
l.6 \isotope{Po} --- \isotope[
56]{Fe} --- \isotope[13][6]{C}\\
The control sequence marked <to be read again> should
not appear between \csname and \endcsname.
! Missing number, treated as zero.
<to be read again>
\@elements@atom@name@num@[
l.6 \isotope{Po} --- \isotope[
56]{Fe} --- \isotope[13][6]{C}\\
A number should have been here; I inserted `0'.
(If you can't figure out why I needed to see a number,
look up `weird error' in the index to The TeXbook.)


elementspackage to get the periodic table number and the isotope. I should have written D is not in theelementspackage. I think it has to be setup. I'll edit this later. – Ross Aug 17 '17 at 00:27