There is a bit of confusion here.
TeX uses \medmuskip around binary operation symbols; whether the space around the two + signs in A+(2n+1)B should be the same or different is a stylistic question. In my opinion the spaces should be the same.
TeX uses \thinmuskip in various places, most importantly at the sides of an operator under certain circumstances. An example is worth several words in order to show it should never be set to zero:
$2\sin x$
\thinmuskip=0mu
$2\sin x$
\bye
Compile with pdftex.

Is this enough of a reason?
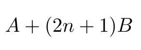
About \medmuskip, here is a comparison:
$A+(2n+1)B$
$A+\hbox{\medmuskip=0mu$(2n+1)$}B$
\bye

Note that TeX won't use the spacings related to \medmuskip or \thickmuskip in subscripts or superscripts, but will still insert those related to \thinmuskip.
+should not be smaller: “Make similar things similar and equal things equal.” – Schweinebacke Jul 25 '17 at 07:23\thinmuskip, not\medmuskip. – egreg Jul 25 '17 at 07:37\thinmuskip. – egreg Jul 25 '17 at 07:56