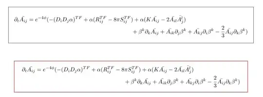
I suggest using the multline environment, and playing with the framed parameters to define an eqframed environment, so the distance from the horizontal lines of the frame to the equation body be not too large. Note the frame will be \textwidth wide.
So I propose an alternative solution, based on empheq (which loads amsmath, so needless to load the latter), which puts an \fbox around the equation, and is easier to customise than framed. The difference is not very important in the present case since your equation lines are wide:
\documentclass{article}
\usepackage{empheq, framed}
\usepackage{geometry}
\usepackage[svgnames]{xcolor}
\newcommand*\widefbox[1]{\setlength{\fboxsep}{8pt}\setlength\fboxrule{1pt}\fcolorbox{IndianRed}{white}{\enspace#1\enspace}}
\newenvironment{eqframed}{\setlength\FrameSep{0pt}\framed}{\endframed}
\begin{document}
\begin{eqframed}
\begin{multline*}
∂_t \bar{A_{ij}}= e^{-4ϕ}(-(D_iD_jα)^{TF}+α(R_{ij}^{TF}-8πS_{ij}^{TF})+α(K\bar{A_{ij}}-2\bar{A_{il}}\bar{A_j^l})\\
+\beta^k∂_k\bar{A_{ij}} +
\bar{A_{ik}}∂_j \beta^k+\bar{A_{kj}}∂_i \beta^k-{2 \over 3}\bar{A_{ij}}∂_k \beta^k)
\end{multline*}
\end{eqframed}
\begin{empheq}[box=\widefbox]{multline*}
∂_t \bar{A_{ij}}= e^{-4ϕ}(-(D_iD_jα)^{TF}+α(R_{ij}^{TF}-8πS_{ij}^{TF})+α(K\bar{A_{ij}}-2\bar{A_{il}}\bar{A_j^l})\\
+\beta^k∂_k\bar{A_{ij}} +
\bar{A_{ik}}∂_j \beta^k+\bar{A_{kj}}∂_i \beta^k-{2 \over 3}\bar{A_{ij}}∂_k \beta^k)
\end{empheq}
\end{document}

beamer. With a MWE we would know the class and the needed math packages. And we could reproduce the problem and test our suggestions. – Schweinebacke Jul 09 '17 at 07:08