The question will be self answered and it is simple. Sometimes, we need to create a family of equations with the same number but with something different (an extra counter or something) For example I have the equations (1) then the (2) and now I want to open a family of equations (3 (i)), (3 (ii)), then to continue with (4)... then to define (3 (iii)) ... etc...
And this has to work with amsmath package to give numbers like (2.2 (i)) etc.
I didn't found something similar but probably I am not using the appropriate keywords. So If it is a duplicate just inform me to write there. Creating the answer...
To make clear what I want... Is to have families of equations without having to give custom tags and changing number of equation counter.
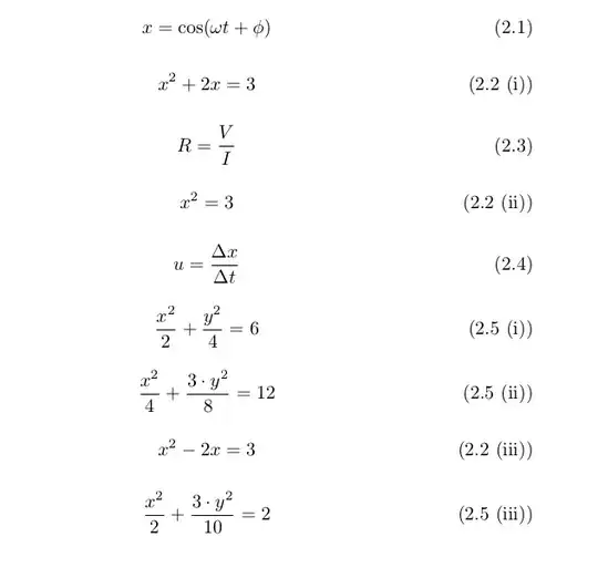
The next photo shows the desired result (with families of quadratic and elliptic equations and equations not in families between them):
PS:This question came out of this question but it was just a misunderstanding of mine. He wanted something else (and I will edit the code of this topic answer to answer that too)
