I want to split up a very long equation. Here is my code:
\documentclass[11pt,a4paper,oneside,onecolumn,article]{memoir}
\usepackage[latin1]{inputenc}
\usepackage{mathtools}
\usepackage{amsmath}
\usepackage{amsfonts}
\begin{document}
\begin{equation}
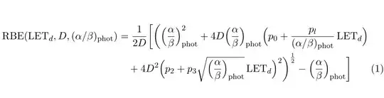
\text{RBE}(LET_d,D,(\alpha /\beta)_{phot}) = \frac{1}{2D}\cdot
\left(\sqrt{\left(\frac{\alpha}{\beta}\right)_{phot}^2+4D\left(\frac{\alpha}
{\beta}\right)_{phot}\left(p_0+\frac{p_1}{(\alpha/\beta)_{phot}}\cdot
LET_D\right)+4D^2\left(p_2+p_3\sqrt{\left(frac{\alpha}{\beta}\right)_{phot}}
\cdot LET_d\right)^2}
-\left(\frac{\alpha}{\beta}\right)_{phot}\right)
\end{equation}
\end{document}
Thank you in advance!



alignedfrom theamsmathpackage that you already load. – Andrew Swann Jun 06 '17 at 14:13