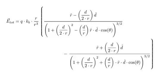
\begin{eqnarray*}
\vec{E}_{tot}=q\cdot k_{b}\cdot \dfrac{r}{r^3}\left\lgroup
\dfrac{\hat{r}-\left(\dfrac{d}{2\cdot r}\right)\hat{d}}{\left(1+\left(\dfrac{d}{2\cdot r}\right)^2-\left(\dfrac{d}{ r}\right)\hat{r}\cdot\hat{d}\cdot cos (\theta)\right)^{3/2}}-\dfrac{\hat{r}+\left(\dfrac{d}{2\cdot r}\right)\hat{d}}{\left(1+\left(\dfrac{d}{2\cdot r}\right)^2+\left(\dfrac{d}{ r}\right)\cdot\hat{r}\cdot\hat{d}\cdot cos(\theta)\right)^{3/2}}
\right\rgroup
\end{eqnarray*}
- 13,741
- 61
-
Welcome to TeX SX! Could you post a full compilable code? – Bernard May 25 '17 at 16:33
5 Answers
This is a case for multline:
\documentclass{article}
\usepackage{amsmath}
\begin{document}
\begin{multline*}
\vec{E}_{\mathrm{tot}}=
q\cdot k_{b}\cdot \dfrac{r}{r^3}
\left\lgroup
\frac{\hat{r}-\left(\dfrac{d}{2\cdot r}\right)\hat{d}}
{\biggl(1+\left(\dfrac{d}{2\cdot r}\right)^2-
\left(\dfrac{d}{r}\right)\hat{r}\cdot\hat{d}\cdot\cos(\theta)
\biggr)^{3/2}}
\right.
\\
\left.
{}-
\frac{\hat{r}+\left(\dfrac{d}{2\cdot r}\right)\hat{d}}
{\biggl(1+\left(\dfrac{d}{2\cdot r}\right)^2+
\left(\dfrac{d}{r}\right)\cdot\hat{r}\cdot\hat{d}\cdot\cos(\theta)
\biggr)^{3/2}}
\right\rgroup
\end{multline*}
\end{document}
I changed a couple of \left-\right pairs so to keep the outer parentheses a bit smaller.
- 1,121,712
First off: Don't use eqnarray. Not now. Not ever.
Second, by getting rid of all \cdot directives and replacing most \left and \right directives with smaller sizing opeators \Big and \bigg), and assuming normal-width margins, it's easily possible to write the entire equation on a single line.
Separately, you may want to look into not using displaymath-mode fractional notation. The result look is shown in the second equation of the following screenshot.
\documentclass[10pt,a4paper]{article}
\usepackage{amsmath,mleftright}
\newcommand\ddfrac[2]{\frac{\displaystyle #1}{\displaystyle #2}}
\usepackage[margin=2.5cm]{geometry} % choose page margins suitable
\begin{document}
\[
\vec{E}_{\mathrm{tot}}=q k_{b}^{} \frac{r}{r^3}
\left(
\ddfrac{\hat{r}-\Bigl(\frac{d}{2r}\Bigr)\hat{d}}{%
\biggl(1+\Bigl(\frac{d}{2r}\Bigr)^{\!2}
-\Bigl(\frac{d}{r}\Bigr)\hat{r}\hat{d}\cos(\theta)\biggr)^{\!3/2}}
-\ddfrac{\hat{r}+\Bigl(\frac{d}{2r}\Bigr)\hat{d}}{%
\biggl(1+\Bigl(\frac{d}{2r}\Bigr)^{\!2}
+\Bigl(\frac{d}{r}\Bigr)\hat{r}\hat{d}\cos(\theta)\biggr)^{\!3/2}}
\right)
\]
\bigskip
%% and now without displaystyle fractions
\[
\vec{E}_{\mathrm{tot}}=q k_{b}^{} \tfrac{r}{r^{3\mathstrut}}
\mleft[
\dfrac{\hat{r}-\frac{d}{2r}\hat{d}}{%
\bigl[1+\frac{d^2}{4r^{2\mathstrut}}
-\frac{d}{r}\hat{r}\hat{d}\cos(\theta)\bigr]^{3/2}}
-\dfrac{\hat{r}+\frac{d}{2r}\hat{d}}{%
\bigl[1+\frac{d^2}{4r^{2\mathstrut}}
+\frac{d}{r}\hat{r}\hat{d}\cos(\theta)\bigr]^{3/2}}
\mright]
\]
\end{document}
- 506,678
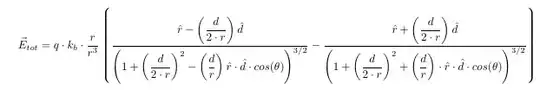
Since it is one equation, I would rather use the multline(*) environment in this case.
\documentclass{article}
\usepackage{amsmath}
\begin{document}
\begin{multline*}
\vec{E}_{tot} = q\cdot k_{b}\cdot \dfrac{r}{r^3}\left\lgroup
\dfrac{\hat{r}-\left(\dfrac{d}{2\cdot r}\right)\hat{d}}{\left(1+
\left(\dfrac{d}{2\cdot r}\right)^2-\left(\dfrac{d}{ r}\right)\hat{r}
\cdot\hat{d}\cdot \cos (\theta)\right)^{3/2}}\right.\\
- \left.\dfrac{\hat{r}+\left(\dfrac{d}{2\cdot r}\right)\hat{d}}
{\left(1+\left(\dfrac{d}{2\cdot r}\right)^2
+\left(\dfrac{d}{ r}\right)\cdot\hat{r}\cdot\hat{d}\cdot \cos(\theta)
\right)^{3/2}}\right\rgroup
\end{multline*}
\end{document}
- 18,756
Your code is incorrect, since you use a blank line just before the end of eqnarray*. Just remove that, then it works.
\documentclass{article}
\usepackage{amsmath,amsfonts,amssymb}
\begin{document}
\begin{eqnarray*}
\vec{E}_{tot}=q\cdot k_{b}\cdot \dfrac{r}{r^3}\left\lgroup
\dfrac{\hat{r}-\left(\dfrac{d}{2\cdot r}\right)\hat{d}}{\left(1+\left(\dfrac{d}{2\cdot r}\right)^2-\left(\dfrac{d}{ r}\right)\hat{r}\cdot\hat{d}\cdot cos (\theta)\right)^{3/2}}-\dfrac{\hat{r}+\left(\dfrac{d}{2\cdot r}\right)\hat{d}}{\left(1+\left(\dfrac{d}{2\cdot r}\right)^2+\left(\dfrac{d}{ r}\right)\cdot\hat{r}\cdot\hat{d}\cdot cos(\theta)\right)^{3/2}}
\right\rgroup
\end{eqnarray*}
\end{document}
Update: As alsways it is a bad idea to use eqnarray* if there are such great environments as, f.i., align*, which could btw help you break those equations.
\documentclass{article}
\usepackage{amsmath,amsfonts,amssymb}
\begin{document}
\begin{align*}
\vec{E}_{tot}&=q\cdot k_{b}\cdot \dfrac{r}{r^3}\left\lgroup
\dfrac{\hat{r}-\left(\dfrac{d}{2\cdot r}\right)\hat{d}}{\left(1+\left(\dfrac{d}{2\cdot r}\right)^2-\left(\dfrac{d}{ r}\right)\hat{r}\cdot\hat{d}\cdot \cos (\theta)\right)^{3/2}}\right.\\
&- \left.\dfrac{\hat{r}+\left(\dfrac{d}{2\cdot r}\right)\hat{d}}{\left(1+\left(\dfrac{d}{2\cdot r}\right)^2+\left(\dfrac{d}{ r}\right)\cdot\hat{r}\cdot\hat{d}\cdot \cos(\theta)\right)^{3/2}}\right\rgroup
\end{align*}
\end{document}
- 33,589
It can perfectly fit in a single line, if you remove the \cdots, which I think are unnecessary, and a number of useless parentheses. Unrelated to the problem at hand, I replaced \vec, which isn't so nice with capital letters, with \vv from esvect:
\documentclass{article}
\usepackage{mathtools}
\usepackage{esvect}
\usepackage{showframe}
\renewcommand\ShowFrameLinethickness{0.3pt}
\begin{document}
\begin{equation*}
\vv*{E}{\text{tot}} =q k_{b}\, \frac{r}{r^3}\mkern-6mu%
\left\lgroup
\frac{\hat{r}-\dfrac{d}{2 r}\,\hat{d}}{\biggl(1+\biggl(\dfrac{d}{2 r}\biggr)^{\!2}\!-\dfrac{d}{ r}\,\hat{r}\hat{d}\,\cos \theta\biggr)^{\!\tfrac{3}{2}}}%
-\frac{\hat{r}+ \dfrac{d}{2 r}\,\hat{d}}{\biggl(1+\left(\dfrac{d}{2 r}\right)^{\!2}\!+\dfrac{d}{ r}\,\hat{r}\hat{d}\, \cos \theta \biggr)^{\!\tfrac{3}{2}}}
\right\rgroup
\end{equation*}
\end{document}
- 271,350
-
The use of
\!in\biggr)^{\!2}makes a big difference. IMO it improves the output too, by more closely associating the power with the bracket – Chris H May 26 '17 at 09:12





