Does anyone know of an elegant way to avoid having to manually put an \nonumber at the end of \shortintertext{} when it is at the last line? As illustrated by the parts of the minimal working example (MWE) below that is commented out by a %.
I am very happy to use \shortintertext{} from mathtools. \shortintertext{} do not produce a equation number, which I like, but if I use \shortintertext{} as the last thing in an {align} equation block \shortintertext{} produces an extra equation number (as this, see blow for MWE)

It also seems as \shortintertext{} produces extra line spacing …
MWE (inspired by this SE example);
\documentclass[preview]{standalone}
\usepackage{mathtools}
\usepackage[usenames,dvipsnames]{xcolor}
\begin{document}
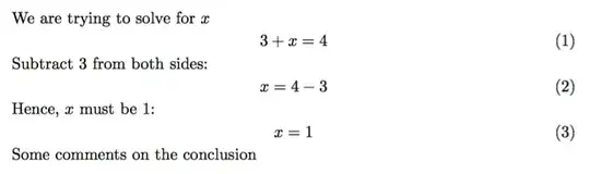
\begin{align}
\shortintertext{\color{gray} We are trying to solve for $x$}
3+x &=4\\
\shortintertext{\color{gray} Subtract 3 from both sides:}
x &=4-3 \
\shortintertext{\color{gray} Hence, $x$ must be 1:}
x &=1
\shortintertext{\color{gray} Some comments on the conclussion} % \nonumber
\end{align} % \vspace{-3.4 em}
\end{document}


\shortintertextshould be normal text outsidealign. – egreg Apr 01 '17 at 09:13align. However, there's a special line spacing for\shortintertext{}so that when I take comments outsidealignthose comments do not have the same spacing as the rest of the equation comments. Maybe I shouldn't use\shortintertext{}at all. – Eric Fail Apr 01 '17 at 09:47