I've got a tikz diagram that has 6 plot lines on 2 axis. The plot lines all trend from 100 toward 0 on the y-axis, with ticks at 90, 80, ..., 10.
Everything looks okay, however the most interesting part of the data is the part between 10 and 0. It is very difficult to properly make out the data in this part because it is too small, the diagram would be much more informative/readable if this part could be larger than the rest of the diagram.
I could make the whole y-axis logarithmic but this isn't really ideal either for the dataset in question.
Is there a way to have a part of the diagram/plot stretch by more than the rest of the diagram. So i.e. 100-90 will be 1 cm, 90-80 will be 1 cm and so on, but 10-0 will be 3cm.
Note this is not a bar chart, so gluing two separated plots together as in the 'Focusing certain parts of a chart in latex' question would not help here at all. Nor does that question/solution allow for making a part of the plot to scale differently, all it allows for is leaving out a peice in the middle of the plot - I'm not at all sure why it is being suggested that this is a duplicate of a completely different question...
Further explanation via diagram.

I want to stretch the part in the red box as shown by the arrows, while leaving the rest unchanged.
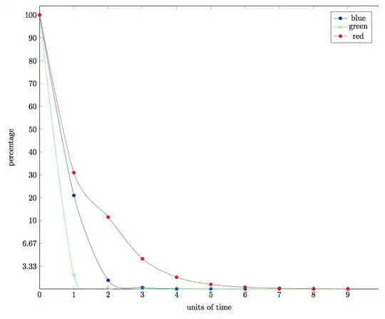
Sample diagram markup as requested.
\begin{tikzpicture}[fill=gray]
%Prevent double labelling at origin
\pgfplotsset{ignore zero/.style={%
#1ticklabel={\ifdim\tick pt=0pt \else\pgfmathprintnumber{\tick}\fi}
}}
\begin{axis}[
axis y line*=left,
ymin=0,
ymax=104,
xmin=0,
xmax=9.9,
xlabel=units of time,
ylabel=percentage,
y=1.5cm/15,
x=1.5cm,
ignore zero=y,
]
\addplot[smooth,mark=*,blue]
coordinates{
(0 , 100.000000000000)
(1 , 21)
(2 , 1.28)
(3 , 0.21)
(4 , 0.03)
(5 , 0.004)
(6 , 0.0005)
(7 , 0.00005)
(8 , 0.000007)
(9 , 0.0000008)
};
\addlegendentry{blue}
\addplot[smooth,mark=o,green]
coordinates{
(0 , 100.000000000000)
(1 , 2.004965950432)
(2 , 0.050130282209)
(3 , 0.001303231721)
(4 , 0.000034413136)
(5 , 0.000000916142)
(6 , 0.000000024509)
(7 , 0.000000000658)
(8 , 0.000000000018)
(9 , 0.000000000000)
};
\addlegendentry{green}
\addplot[smooth,mark=*,red]
coordinates{
(0 , 100.000000000000)
(1 , 30.969834976929)
(2 , 11.504103027913)
(3 , 4.422780528370)
(4 , 1.725299638737)
(5 , 0.678378118320)
(6 , 0.268047163678)
(7 , 0.106264332554)
(8 , 0.042226956059)
(9 , 0.016809562633)
};
\addlegendentry{red}
\end{axis}
\end{tikzpicture}


I really don't understand why this has been marked as a duplicate of a question that is not a duplicate, the other question/answer that is a supposed duplicate does not answer my question at all.
– Malcolm MacLeod Mar 22 '17 at 20:49I really don't see why anyone would struggle to understand this intuitively - this is exactly what the labelled ticks on the axis are for, anyone capable of reading should not have a problem.
– Malcolm MacLeod Mar 22 '17 at 21:30spypackage). – Rmano Mar 22 '17 at 22:58