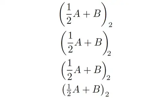
You could "nudge" the subscript to the left, i.e., place it closer to the closing parenthesis, by writing _{\!\!2} (two negative thinspaces) or _{\!2} (one negative thinspace) instead of just _2. Even better, though, would be not to use \left and \right to auto-size the parentheses to begin with. In fact, \left and \right may be the root cause of the problem, since the parentheses that are produced by \left( and \right) are needlessly large. Consider the following screenshot:

The first row is produced by your code, i.e., by \left(\frac{1}{2}A + B\right)_2. The second row shows the effect of nudging the subscript to the left via _{\!\!2}. In the third row, \Bigl and \Bigr are used instead of \left and \right; here, much less "nudging" is required.
The final row uses \tfrac ("text style \frac") to create a smaller, but still perfectly readable fraction term along with \bigl and \bigr. Now, no nudging is required at all. I would argue that the expression in the final row is the most readable of the four. :-)
\documentclass{article}
\usepackage{amsmath} % for 'gather*' environment
\begin{document}
\begin{gather*}
\left(\frac{1}{2}A + B\right)_2 \\
\left(\frac{1}{2}A + B\right)_{\!\!2}\\
\Bigl(\frac{1}{2}A+B\Bigr)_{\!2}\\
\bigl(\tfrac{1}{2}A+B\bigr)_2
\end{gather*}
\end{document}
\leftand\right. They add nothing and actually do harm. If you really need larger parentheses, for this case use\bigl(and\bigr). – egreg Mar 20 '17 at 23:49_2use_{\!2}or_{\!\!2}. Also, while code snippets are useful in explanations, it is always best to compose a fully compilable MWE that illustrates the problem including the\documentclassand the appropriate packages so that those trying to help don't have to recreate it. – Peter Grill Mar 21 '17 at 00:11\leftand\ rightbad? – David M. Mar 21 '17 at 17:51\!to nudge the subscript or superscript. I always do it. – egreg Mar 21 '17 at 17:59\leftand\rightsee, e.g., Is it ever bad to use \left and \right? and “(” or “\left(” parentheses? – Mico Mar 21 '17 at 18:20