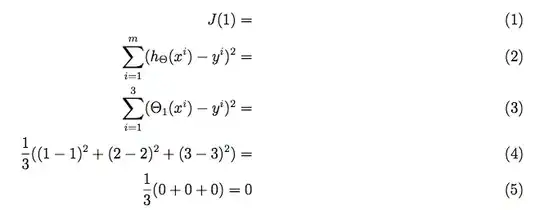
The following code:
\documentclass[12pt, a4paper, twoside, titlepage]{article}
\usepackage{amsmath}
\begin{document}
\begin{flalign}
J(1)=\\
\sum\limits_{i=1}^{m} (h_\Theta(x^i)-y^i)^2=&&\\
\sum\limits_{i=1}^{3} (\Theta_1(x^i)-y^i)^2=&&\\
\frac{1}{3}((1-1)^2+(2-2)^2+(3-3)^2)=&&\\
\frac{1}{3}(0+0+0)=0
\end{flalign}
\end{document}
Gives the following equation alignment:
Aligning by the = is great when developing two sides of an equation. However, when developing an expresion line-by-line, I prefer that the expressions will be aligned to the left:
I assume that after seeing my handwriting skills, my need for Latex is self-explanatory.
What have I tried
- Playing with
alignandflalign - Reading "Aligning equations with amsmath"
- Reading problem using option fleqn in amsmath package, Use flalign or alignat or align or similar environment to align to the left, Text in flalign/align and How can I use an align environment flush left?
My question
How do I align a running numbered list of expressions, similar to the one listed above, in which the expressions are aligned to the left?



flalign(full length align) has nothing to do withfleqn(fixed length [from the margin] equations). Remember thatalignand the other environments withalignin their name make columns in pair, the first right aligned and the second left aligned. So you just need&in front of each line. – egreg Mar 20 '17 at 07:49