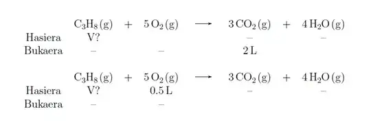
I would like to use something like tabular within the reactions environment provided by chemmacros. Something like this:
\documentclass[12pt]{article}
\usepackage{chemmacros}
\usepackage{siunitx}
\newcommand{\li}[1]{\SI{#1}{\liter}}
\begin{document}
\begin{center}
\begin{tabular}{cccccccc}
& \ch{C3H8\gas} & $+$ & \ch{5 O2\gas} & \ch{->} & \ch{3 CO2\gas} & $+$ & \ch{4 H2O\gas} \\
Hasiera & V? & & & & -- & & -- \\
Bukaera & -- & & -- & & \li{2} & & \\
\end{tabular}
\end{center}
\begin{center}
\begin{tabular}{cccccccc}
& \ch{C3H8\gas} & $+$ & \ch{5 O2\gas} & \ch{->} & \ch{3 CO2\gas} & $+$ & \ch{4 H2O\gas} \\
Hasiera & V? & & \li{0.5} & & -- & & -- \\
Bukaera & -- & & -- & & & & \\
\end{tabular}
\end{center}
\end{document}
Is there any way to do this with chemmacros? Thanks


