17

Every time I read an old math paper, I'm pretty exited about how perfectly it looks.

See this PDF, for example:

enter image description here

Everything, though a not-so-perfect-scan, somehow looks "real" to me. It's the little differences that I believe are important here. The not-too-perfect alignment of letters for example. Some are more up than others, some more down, even tiny bits. And sometimes, lightning and saturation is not all-too-perfect, too.

I really like the look of it, but sadly I prefer writing on a modern-day-keyboard instead of an old typewriter (mainly for software-reasons, the hardware alone would be fine). So... is there any way, just for fun, to create a LaTeX document, coming out as PDF or whatever, that, when printed, looks like that proof?

There are plus-points if it looks like a very old proof, e.g. the things Frege did in his Begriffsschrift, old-style-letters would be perfect there, but again, professional and not too oldstyle. But I couldn't easily find a picture of the Begriffsschrift online that have a high enough resolution...

Werner
  • 603,163
  • 6
    welcome to tex.sx. the example you cite was set in metal type, almost certainly monotype. (the inter-letter spacing in the italic, especially around the "f"s, shows the limitations of metal type, where the height and depth of certain letters drastically affects the ability to place adjacent ones really close together; the design was the product of a really skilled type designer.) presumably this could be simulated by a program like tex, if the original font can be identified. the font design principles haven't changed. – barbara beeton Feb 06 '17 at 22:57
  • The original font, according to my pdf viewer, is Times New Roman. For the general layout, it can be done with titlesec and amsthm or (more easily) ntheorem. Use option \leqno from amsmath, too. – Bernard Feb 06 '17 at 23:08
  • 3
    @Bernard -- this page is reproduced by a scan from a journal published in 1947. fonts used in scanned material aren't very well identified, and this doesn't look like times to me. ams has used times in some of its journals, but not, i think, in 1947. i have access to the paper publication, and will see if i can get some additional information. – barbara beeton Feb 07 '17 at 01:03
  • 1
    My viewer says it's Times New Roman!! Maybe the viewer systematically replaces scanned fonts with Times New Roman? – Bernard Feb 07 '17 at 01:07
  • 2
    My pdf-viewer once told me the document was using Comic Sans. In fact, it was only a picture of a duck embedded in a pdf. I was freaking out. – Johannes_B Feb 07 '17 at 07:34
  • 1
    FWIW it appears that the standard font in early-twentieth-century mathematical typesetting is called "Monotype Modern Series 7" (source: http://ultrasparky.org/school/pdf/Rhatigan_Monotype_4-line_math.pdf). It's well approximated by the Old Standard font in Gregor's answer below. – David M. May 09 '18 at 22:15

2 Answers2

7

I guess I'll replicate the above excellent portion of this mathematical paper as good as I can.

But first, historical clarification. Before Donald Knuth laid the cornerstone of Tex in 1978 printing mathematical papers was quite a hassle, primarily because such papers consisted of fairly complex mathematical symbols. You can imagine that not everyone had elaborate matrices for such symbols. That's why old papers (and books) are printed so flawlessly - they demanded time, effort and a lot of patience. Thanks to Knuth (a genius in my opinion) and modern technology we can now write just as beautiful documents.

And now, my replication (I hope it suffices):

\documentclass[a4paper, leqno]{report}

\usepackage{amsmath}
\usepackage{latexsym}
\usepackage{amssymb}
\usepackage{amsbsy}
\usepackage{amssymb}
\usepackage{amstext}
\usepackage{amsxtra}
\usepackage{amscd}
\usepackage{amsopn}
\usepackage{lmodern}
\usepackage[slovene]{babel}
\usepackage[utf8]{inputenc}
\usepackage[T1]{fontenc}
\usepackage{fullpage}
\usepackage{slashed}
\usepackage{mathtools}
\usepackage{microtype}
\usepackage{graphicx}
\usepackage{geometry}
\usepackage{mathdots}
\usepackage{mathrsfs}

\textwidth=300pt

\begin{document}

\begin{center}
\begin{large}
\textbf{A PRIME-REPRESENTING FUNCTION} \\ \vspace{0.3cm }
\end{large}
W. H. MILLS
\end{center}

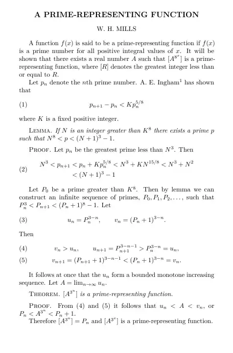
A function $f(x)$ is said to be a prime-representing function if $f(x)$ is a prime number for all positive integral values of $x$. It will be shown that there exists a real number $A$ such that $[A^{8^{x}}]$ is a prime-representing function, where $[R]$ denotes the greatest integer less than or equal to $R$.

Let $p_n$ denote the $n$th prime number. A. E. Ingham\textsuperscript{1} has shown that
\begin{equation}
p_{n+1} - p_n < Kp_{n}^{5/8}
\end{equation}
where $K$ is a fixed positive integer. \vspace{0.2cm}

\textsc{Lemma.} \textit{If $N$ is an integer greater than $K^8$ there exists a prime $p$ such that $N^8 < p < (N+1)^3 - 1$.} \vspace{0.2cm}

\textsc{Proof.} Let $p_n$ be the greatest prime less than $N^3$. Then
\begin{equation}
\begin{split}
N^3 < p_{n+1} &< p_n + Kp_{n}^{5/8} < N^3 + KN^{15/8} < N^3 + N^2 \\
&< (N + 1)^3 -1
\end{split}
\end{equation}

Let $P_0$ be a prime greater than $K^8$. Then by lemma we can construct an infinite sequence of primes, $P_0, P_1, P_2, \dots ,$ such that $P_{n}^{3} < P_{n+1} < (P_n + 1)^8 -1$. Let
\begin{equation}
u_n = P^{3 - n}_{n}, \qquad v_n = (P_n + 1)^{3-n}.
\end{equation}
Then
\begin{equation}
v_n > u_n, \qquad u_{n+1} = P_{n+1}^{3-n-1} > P_{n}^{3-n} = u_n,
\end{equation}
\vspace{-0.8cm}
\begin{equation}
v_{n+1} = (P_{n+1} + 1)^{3-n-1} < (P_n + 1)^{3-n} = v_n .
\end{equation}

It follows at once that the $u_n$ form a bounded monotone increasing sequence. Let $A = \lim_{n \to \infty} u_n$.

\vspace{0.2cm}
\textsc{Theorem.} $[A^{3^{n}}]$ \textit{is a prime-representing function.}

\vspace{0.2cm}
\textsc{Proof.} From (4) and (5) it follows that $u_n < A < v_n$, or $P_n < A^{3^{n}} < P_n +1$.

Therefore $[A^{3^{n}}] = P_n$ and $[A^{3^{x}}]$ is a prime-representing function.

\end{document}

enter image description here

This is just my personal opinion (we probably don't have the same taste) , but the LaTex replica looks just as beautiful as the original paper. Of course I didn't bother writing the answer just for the sake of expressing my personal preference. You seek some font that would make your LaTex document look natural. I combined my standard source code and Old Standard font by adding \usepackage{mathspec}, \defaultfontfeatures{Mapping=tex-text} and \setallmainfonts{Old Standard}. Note that the following code must be compiled with XeLaTex, otherwise it will not work. Here is the renewed code:

\documentclass[a4paper, leqno]{report}

\usepackage{amsmath}
\usepackage{latexsym}
\usepackage{amssymb}
\usepackage{amsbsy}
\usepackage{amssymb}
\usepackage{amstext}
\usepackage{amsxtra}
\usepackage{amscd}
\usepackage{amsopn}
\usepackage{lmodern}
\usepackage[slovene]{babel}
\usepackage[utf8]{inputenc}
\usepackage[T1]{fontenc}
\usepackage{fullpage}
\usepackage{slashed}
\usepackage{mathtools}
\usepackage{microtype}
\usepackage{graphicx}
\usepackage{geometry}
\usepackage{mathdots}
\usepackage{mathrsfs}
\usepackage{mathspec}

\defaultfontfeatures{Mapping=tex-text}
\setallmainfonts{Old Standard}

\textwidth=300pt

\begin{document}

\begin{center}
\begin{large}
\textbf{A PRIME-REPRESENTING FUNCTION} \\ \vspace{0.3cm }
\end{large}
W. H. MILLS
\end{center}

A function $f(x)$ is said to be a prime-representing function if $f(x)$ is a prime number for all positive integral values of $x$. It will be shown that there exists a real number $A$ such that $[A^{8^{x}}]$ is a prime-representing function, where $[R]$ denotes the greatest integer less than or equal to $R$.

Let $p_n$ denote the $n$th prime number. A. E. Ingham\textsuperscript{1} has shown that
\begin{equation}
p_{n+1} - p_n < Kp_{n}^{5/8}
\end{equation}
where $K$ is a fixed positive integer. \vspace{0.2cm}

\textsc{Lemma.} \textit{If $N$ is an integer greater than $K^8$ there exists a prime $p$ such that $N^8 < p < (N+1)^3 - 1$.} \vspace{0.2cm}

\textsc{Proof.} Let $p_n$ be the greatest prime less than $N^3$. Then
\begin{equation}
\begin{split}
N^3 < p_{n+1} &< p_n + Kp_{n}^{5/8} < N^3 + KN^{15/8} < N^3 + N^2 \\
&< (N + 1)^3 -1
\end{split}
\end{equation}

Let $P_0$ be a prime greater than $K^8$. Then by lemma we can construct an infinite sequence of primes, $P_0, P_1, P_2, \dots ,$ such that $P_{n}^{3} < P_{n+1} < (P_n + 1)^8 -1$. Let
\begin{equation}
u_n = P^{3 - n}_{n}, \qquad v_n = (P_n + 1)^{3-n}.
\end{equation}
Then
\begin{equation}
v_n > u_n, \qquad u_{n+1} = P_{n+1}^{3-n-1} > P_{n}^{3-n} = u_n,
\end{equation}
\vspace{-0.9cm}
\begin{equation}
v_{n+1} = (P_{n+1} + 1)^{3-n-1} < (P_n + 1)^{3-n} = v_n .
\end{equation}

It follows at once that the $u_n$ form a bounded monotone increasing sequence. Let $A = \lim_{n \to \infty} u_n$.

\vspace{0.2cm}
\textsc{Theorem.} $[A^{3^{n}}]$ \textit{is a prime-representing function.}

\vspace{0.2cm}
\textsc{Proof.} From (4) and (5) it follows that $u_n < A < v_n$, or $P_n < A^{3^{n}} < P_n +1$.

Therefore $[A^{3^{n}}] = P_n$ and $[A^{3^{x}}]$ is a prime-representing function.

\end{document}

enter image description here

I hope you'll find this font extravagant and archaic, just as the one you exposed. If not, I got another one for you. Since I don't have the appropriate software (my Texstudio just won't compile) I can only post a link to this wonderful solution. Read up on this: Old-style/Antique typesetting in LaTeX/TeX.

I wish you a wonderful day and plenty more hours of fun with LaTex!

God bless
  • 1,767
  • It would really help if you simplified your preamble. Some packages are loaded twice explicitly, others are loaded automatically as parts of other packages, and still others (latexsym!) have no discernible justification for being loaded in a LaTeX2e document in the first place. Separately, what is the purpose of specifying the language option slovene in an English-language document? – Mico Mar 01 '17 at 17:52
  • Oh you are right, excuse me. The pile of packages you see is my standard work environment. I just (mindlessly) copy-pasted it and started replicating your paper. I'm from Slovenia (small country in Europe; google it) hence the slovene package for characters like š, č, and ž that are native to my language. Just ignore it. You can also delete all the tikz packages and unecessary ams packages I used when I was dealing with more exotic mathematical symbols. I hope I clarified the situation. Loading all the packages is a bad habit of mine and I'm looking forward to removing it. – God bless Mar 02 '17 at 09:10
  • Gregor - What you do inside your own LaTeX documents is entirely up to you -- I wouldn't dream of trying to impose my coding views on you. (Incidentally, I also live in a small country in Europe. What I was questioning was using slovene as the babel language option for a document that's not written in Slovene.) For LaTeX code that's posted on this site, though, it's highly desirable that the code be robust and focused on the issue at hand. This site is frequently visited by newcomers to TeX and LaTeX. It's important not to confuse them needlessly. – Mico Mar 02 '17 at 10:13
  • 1
    Yes I agree completely. Also, I don't know where you got the impression that I'm feeling "imposed on". No, not at all! I'm enjoying this chat very much! Tex and LaTex communities are among the friendliest I know. I agree that I should focus not only on answering your question specifically but also setting a good example for newcomers. I will take this into account when I'm answering my next question. Thank you. – God bless Mar 02 '17 at 10:30
3

If you are still looking for an answer, take a look at my code.

\documentclass[a4paper,12pt,twoside,leqno]{article}

\usepackage[marginratio={4:6, 5:7}, textwidth=121mm, noheadfoot]{geometry}

\usepackage{amsmath}
%\usepackage{amssymb}
%\usepackage{mathtools}
%\usepackage{mathrsfs}

%%%%%%%%%%%%%%%%%%%%%%%%%%

\usepackage{mathabx}
\usepackage{mathspec}
\defaultfontfeatures{Mapping=tex}
\defaultfontfeatures{Numbers=Proportional, WordSpace =1.6}
\setmainfont{Century Old Style}
\setmathsfont(Digits){Century Old Style}
\setmathsfont(Latin){Century Old Style}
%\setmathsfont(Greek){Century Old Style}

\newfontfamily{\Times}{Times}
\newfontfamily{\CenturyOldStyle}{Century Old Style}
\newfontfamily{\CenturyOldStyleStd}{Century Old Style Std}
\newfontfamily{\MinionPro}{Minion Pro}
\newfontfamily{\OldStandardTT}{Old Standard TT}


%%%%%%%%%%%%%%%%%%%%%%%%%%

\usepackage{amsthm}
\usepackage{thmtools}

\declaretheoremstyle[%
spaceabove=\topsep,
spacebelow=\topsep,
headfont={\scshape\MinionPro},
bodyfont=\itshape,
notefont=\normalfont,
notebraces={(}{)},
headformat=\NAME,
headindent=\parindent
]{theorem}
% Theorem
\declaretheorem[style=theorem,name=Theorem,numberwithin=section]{theorem}
% Corollary
\declaretheorem[style=theorem,name=Corollary,sibling=theorem]{corollary}
% Lemma
\declaretheorem[style=theorem,name=Lemma,sibling=theorem]{lemma}
% Definition
\declaretheorem[style=theorem,name=Definition,sibling=theorem]{definition}
% Proposition
\declaretheorem[style=theorem,name=Proposition,sibling=theorem]{proposition}
% Property
\declaretheorem[style=theorem,name=Property,sibling=theorem]{property}



\let\proof\relax
\let\endproof\relax
\declaretheoremstyle[%
spaceabove=0pt,
spacebelow=\lineskip,
headfont={\scshape\MinionPro},
bodyfont=\normalfont,
notefont=\normalfont,
notebraces={(}{)},
headpunct={.},
headformat=\NAME,
headindent=\parindent
%qed={\raisebox{-\baselineskip}{\llap{Q.e.d.}}}%
]{proof}
% Proof
\declaretheorem[style=proof,name=Proof]{proof}

%%%%%%%%%%%%%%%%%%%%%%%%%%%%%


\title{A PRIME-REPRESENTING FUNCTION}
\author{W. H. MILLS}
\date{}

\begin{document}

\maketitle

A function $f(x)$ is said to be a prime-representing function if $f(x)$ is a prime number for all positive integral values of $x$. It will be shown that there exists a real number $A$ such that $[A^{8^{x}}]$ is a prime-representing function, where $[R]$ denotes the greatest integer less than or equal to $R$.

Let $p_n$ denote the $n$th prime number. A. E. Ingham\textsuperscript{1} has shown that
\begin{equation}
p_{n+1} - p_n < Kp_{n}^{5/8}
\end{equation}
where $K$ is a fixed positive integer.

\begin{lemma}
If $N$ is an integer greater than $K^8$ there exists a prime $p$ such that $N^8 < p < (N+1)^3 - 1$.
\end{lemma}
\begin{proof}
Let $p_n$ be the greatest prime less than $N^3$. Then
\begin{equation}
\begin{split}
N^3 < p_{n+1} &< p_n + Kp_{n}^{5/8} < N^3 + KN^{15/8} < N^3 + N^2 \\
&< (N + 1)^3 -1
\end{split}
\end{equation}
\end{proof}

Let $P_0$ be a prime greater than $K^8$. Then by lemma we can construct an infinite sequence of primes, $P_0, P_1, P_2, \dots ,$ such that $P_{n}^{3} < P_{n+1} < (P_n + 1)^8 -1$. Let
\begin{equation}
u_n = P^{3 - n}_{n}, \qquad v_n = (P_n + 1)^{3-n}.
\end{equation}
Then
\begin{equation}
v_n > u_n, \qquad u_{n+1} = P_{n+1}^{3-n-1} > P_{n}^{3-n} = u_n,
\end{equation}
\vspace{-0.8cm}
\begin{equation}
v_{n+1} = (P_{n+1} + 1)^{3-n-1} < (P_n + 1)^{3-n} = v_n .
\end{equation}

It follows at once that the $u_n$ form a bounded monotone increasing sequence. Let $A = \lim_{n \to \infty} u_n$.

\begin{theorem}
$[A^{3^{n}}]$ is a prime-representing function.
\end{theorem}
\begin{proof}
From (4) and (5) it follows that $u_n < A < v_n$, or $P_n < A^{3^{n}} < P_n +1$.
Therefore $[A^{3^{n}}] = P_n$ and $[A^{3^{x}}]$ is a prime-representing function.
\end{proof}

\end{document}

Some Remarks.

1.- Since it uses mathspec XeLaTeXcompilation is needed.

2.- You need to have installed Century Old Style and Minion Pro fonts. You will have the latest if you have Adobe.

3.- Finally, I can't get small caps for Century Old Style, so I have used Minion Pro.

I hope you like it.

Dog_69
  • 981