3

is it possible to remove brace from the left of following equation?

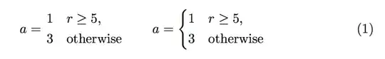
\begin{equation}
  a=
    \begin{dcases}
     1& r\geq 5,
     3& \text{otherwise}
    \end{dcases}
\end{equation}
egreg
  • 1,121,712
Fahim B
  • 661

2 Answers2

9

You can easily do it, but your readers won't be happy.

\documentclass{article}
\usepackage{mathtools}

\makeatletter
\newcases{nocases}
  {\quad}
  {$\m@th\displaystyle{##}$\hfil}
  {$\m@th\displaystyle{##}$\hfil}
  {.}{.}
\makeatother

\begin{document}
\begin{equation}
  a=
    \begin{nocases}
     1& r\geq 5, \\
     3& \text{otherwise}
    \end{nocases}
\qquad
  a=
    \begin{dcases}
     1& r\geq 5, \\
     3& \text{otherwise}
    \end{dcases}
\end{equation}
\end{document}

enter image description here

egreg
  • 1,121,712
4

Use aligned or a regular array with the appropriate column specification:

enter image description here

\documentclass{article}

\usepackage{mathtools}

\begin{document}

\begin{equation}
  a =
    \begin{dcases}
      1 & r \geq 5, \\
      3 & \text{otherwise}
    \end{dcases}
  \qquad
  b = 
    \begin{array}{ @{} r l @{} }
      1 & r \geq 5, \\[\jot]
      3 & \text{otherwise}
    \end{array}
  \qquad
  c = 
    \begin{aligned}
      1 \quad & r \geq 5, \\
      3 \quad & \text{otherwise}
    \end{aligned}
\end{equation}

\end{document}

arrays set their contents in \textstyle by default. Issue \displaystyle if needed, and perhaps also adjust the vertical gap \\[\jot] to a larger multiple.

Werner
  • 603,163