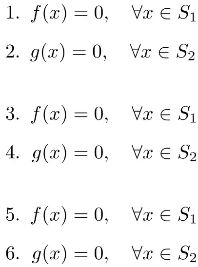
Here are two ways of achieving this:

\documentclass{article}
\usepackage{mathtools,eqparbox}
\begin{document}
\begin{enumerate}
\item $f(x) = 0, \quad \forall x \in S_1$
\item $g(x) = 0, \quad \forall x \in S_2$
\bigskip
\item $f(x) = 0, \quad \forall x \in S_1$
\item $\phantom{f(x)}\mathllap{g(x)} = 0, \quad \forall x \in S_2$
\bigskip
\item $\eqmakebox[lhs]{$f(x)$} = 0, \quad \forall x \in S_1$
\item $\eqmakebox[lhs][r]{$g(x)$} = 0, \quad \forall x \in S_2$
\end{enumerate}
\end{document}
(1) and (2) above is your original setup. We notice that f(x) is wider than g(x). As such, our focus will be only on moving g(x) to the right a smidge.
In (4) we insert a \phantom{f(x)} which puts us in the correct horizontal position, then insert g(x) in a math box with a left overlap (or \mathllap).
In (6) we insert both f(x) and g(x) inside an \eqmakebox with the same label (lhs). This ensures that they will take up the same space horizontally. Furthermore, we align g(x) to the r within the box.
Here is a more complex example using the same setup:

\documentclass{article}
\usepackage{mathtools,amsfonts,eqparbox}
\DeclareMathOperator{\grad}{grad}
\begin{document}
% Original setup
\begin{enumerate}
\item
$X\left(V\left(\varphi\right)\right)=\left\langle {{\operatorname{grad}}_{V}}\left(\varphi\right),X\left(\varphi\right)\right\rangle\quad,\quad\forall{X}\in{TM},\varphi\in{{C}^{\infty}}\left(M,W\right)$
\item ${{\operatorname{grad}}_{V}}\left(\rho\left(g\right)u\right)=\rho\left(g\right){{\operatorname{grad}}_{V}}\left(u\right)\quad,\quad\forall{u}\in{W},g\in{G}$
\item $\left\langle{\operatorname{grad}}_{V}\left(u\right),\rho_{*}\left(X\right)u\right\rangle=0\quad\quad\quad\quad\,,\quad\forall{u}\in{W},X\in{\mathfrak{g}}$
\end{enumerate}
\bigskip
\begin{enumerate}
\item
$\phantom{\grad_V(\rho(g) u) = \rho(g) \grad_V(u)}
\mathllap{X(V(\varphi)) = \langle \grad_V(\varphi), X(\varphi) \rangle}, \quad \forall X \in TM , \varphi \in C^\infty(M,W)$
\item
$\grad_V(\rho(g) u) = \rho(g) \grad_V(u), \quad \forall u \in W ,g \in G $
\item
$\phantom{\grad_V(\rho(g) u) = \rho(g) \grad_V(u)}
\mathllap{\langle \grad_V(u), \rho_*(X) u \rangle = 0}, \quad \forall u \in W , X \in \mathfrak{g}$
\end{enumerate}
\bigskip
\begin{enumerate}
\item
\eqmakebox[lhs][r]{$X(V(\varphi)) = \langle \grad_V(\varphi), X(\varphi) \rangle$}%
$, \quad \forall X \in TM , \varphi \in C^\infty(M,W)$
\item
\eqmakebox[lhs]{$\grad_V(\rho(g) u) = \rho(g) \grad_V(u)$}%
$, \quad \forall u \in W ,g \in G $
\item
\eqmakebox[lhs][r]{$\langle \grad_V(u), \rho_*(X) u \rangle = 0$}%
$, \quad \forall u \in W , X \in \mathfrak{g}$
\end{enumerate}
\end{document}
enumerateenvironment? If you're not familiar you should definitely take a look at whatamsmathand the likes of thealignenvironment which it provides. Possibly you want to look at Sharing alignment between equations in two different items. – Dai Bowen Dec 02 '16 at 15:19