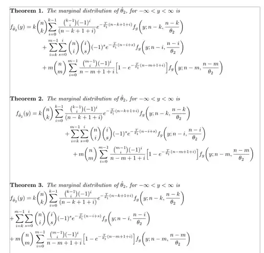
You can do that with the flalign* environment. But I sugest ailso the multline* environment. The following code shows the possibilities, with some modifications of line breaking points. I also changed the size of some pairs of parentheses:
\documentclass{article}
\usepackage[utf8]{inputenc} %
\usepackage[showframe]{geometry}%
\usepackage{mathtools,nccmath, amsthm}
\usepackage{amsfonts}
\newtheorem{theorem}{Theorem}
\begin{document}
\begin{theorem}
The marginal distribution of $\hat{\theta }_2$, for $-\infty<y<\infty$ is
\begin{flalign*}
f_{\hat{\theta }_2}(y)=k\binom{n}{k} & \smash[t]{\sum_{i=0}^{k-1}\frac{\binom{k-1}{i}(-1)^i}{(n-k+1+i)}e^{-\frac{T}{\theta_1}(n-k+1+i)}f_g\biggl(y;n-k,\frac{n-k}{\theta_2}\biggr)} & & & \\
{}+{}&\sum_{i=k}^{\mathclap{m-1}}\sum_{s=0}^i\binom{n}{i}\binom{i}{s}(-1)^s e^{-\frac{T}{\theta_1} (n-i+s)} f_g\biggl(y;n-i,\frac{n-i}{\theta_2}\biggr)\\
{}+{}&m\binom{n}{m}\sum_{i=0}^{m-1} \frac{\binom{m-1}{i}(-1)^i}{n-m+1+i} \Bigl[1-e^{-\frac{T}{\theta_1}(n-m+1+i)}\Bigr]f_g\biggl(y;n-m,\frac{n-m}{\theta_2}\biggr)
\end{flalign*}
\end{theorem}
\bigskip
\begin{theorem}
The marginal distribution of $\hat{\theta }_2$, for $-\infty<y<\infty$ is
\begin{multline*}
f_{\hat{\theta }_2}(y)=\smash[t]{k\binom{n}{k} \sum_{i=0}^{k-1}\frac{\binom{k-1}{i}(-1)^i}{(n-k+1+i)}e^{-\frac{T}{\theta_1}(n-k+1+i)}f_g\biggl(y;n-k,\frac{n-k}{\theta_2}\biggr)} \\
{}+\sum_{i=k}^{\mathclap{m-1}}\sum_{s=0}^i\binom{n}{i}\binom{i}{s}(-1)^s e^{-\frac{T}{\theta_1} (n-i+s)} f_g\biggl(y;n-i,\frac{n-i}{\theta_2}\biggr)\\
{}+m\binom{n}{m}\sum_{i=0}^{m-1} \frac{\binom{m-1}{i}(-1)^i}{n-m+1+i} \Bigl[1-e^{-\frac{T}{\theta_1}(n-m+1+i)}\Bigr]f_g\biggl(y;n-m,\frac{n-m}{\theta_2}\biggr)
\end{multline*}
\end{theorem}
\bigskip
\begin{theorem}
The marginal distribution of $\hat{\theta }_2$, for $-\infty<y<\infty$ is
\begin{fleqn}
\begin{align*}
& f_{\hat{\theta }_2}(y)=\smash[t]{k\binom{n}{k} \sum_{i=0}^{k-1}\frac{\binom{k-1}{i}(-1)^i}{(n-k+1+i)}e^{-\frac{T}{\theta_1}(n-k+1+i)}f_g\biggl(y;n-k,\frac{n-k}{\theta_2}\biggr)} \\
& \negthickspace+\sum_{i=k}^{\mathclap{m-1}}\sum_{s=0}^i\binom{n}{i}\binom{i}{s}(-1)^s e^{-\frac{T}{\theta_1} (n-i+s)} f_g\biggl(y;n-i,\frac{n-i}{\theta_2}\biggr)\\
& \negthickspace+m\binom{n}{m}\sum_{i=0}^{m-1} \frac{\binom{m-1}{i}(-1)^i}{n-m+1+i} \Bigl[1-e^{-\frac{T}{\theta_1}(n-m+1+i)}\Bigr]f_g\biggl(y;n-m,\frac{n-m}{\theta_2}\biggr) \end{align*}
\end{fleqn}%
\end{theorem}%
\end{document}

{}icon above the window. also, it's most helpful if you can provide a small complete example, beginning with\documentclassand ending with\end{document}, so we can cut-and-paste to experiment. finally,\eqnarrayisn't the best choice of coding; here's some commentary on the subject: [eqnarrayvsalign`](http://tex.stackexchange.com/q/196). – barbara beeton Nov 22 '16 at 17:06